![]() |
|
||
|
|
|||
法令 第60/96/M号
核准钢筋混凝土及预应力混凝土结构规章——若干废止
十月七日
第一条(核准)
核准附于本法规且成为其组成部分之《钢筋混凝土及预应力混凝土结构规章》。
第二条(监察)
土地工务运输司(葡文缩写为DSSOPT)及其他促进公共工程之实体,负责监察对《钢筋混凝土及预应力混凝土结构规章》之遵守。
第三条(正在进行之工程及程序)
《钢筋混凝土及预应力混凝土结构规章》不适用于该规章开始生效时正在进行之工程及与土地工务运输司正在处理之发出准照程序有关之工程。
第四条(处罚制度)
因不遵守《钢筋混凝土及预应力混凝土结构规章》而适用之处罚制度为专有法规之标的。
第五条(废止)
废止下列法规:
a.经一九六七年九月五日第22872号训令延伸至澳门之核准《钢筋混凝土结构规章》之一九六七年五月二十日第47723号命令及一九六七年八月十一日第47842号命令;该两项命令及训令均公布于一九六七年十一月二十一日第四十六期《政府公报》副刊;
b.经一九六八年九月四日第23577号训令延伸至澳门之一九六八年六月二十二日第48446号命令;该命令及训令均公布于一九六八年九月二十一日第三十八期《政府公报》。
第六条(开始生效)
本法规公布六十日后开始生效。
钢筋混凝土及预应力混凝土结构规章























──────┬────┬────┬────┬──── 级号 │ A235 │ A335 │ A400 │ A500 ──────┼────┼────┼────┼──── fsvd(MPa.│ 204 │ 291 │ 348 │ 435 ──────┴────┴────┴────┴──── |



表六 各种混凝土等级之τRd值 ──────┬──┬──┬──┬──┬──┬──┬──┬──┬──┬─── 混凝土级别│B15 │B20 │B25 │B30 │B35 │B40 │B45 │B50 │B55 │B60 ──────┼──┼──┼──┼──┼──┼──┼──┼──┼──┼─── τRd │0.18│0.22│0.25│0.30│0.33│0.35│0.38│0.42│0.45│0.48 ──────┴──┴──┴──┴──┴──┴──┴──┴──┴──┴─── |

表七 τRd2应力值 ─────┬──┬──┬──┬──┬──┬──┬──┬──┬──┬─── 混凝土级别│B15 │B20 │B25 │B30 │B35 │B40 │B45 │B50 │B55 │B60 ─────┼──┼──┼──┼──┼──┼──┼──┼──┼──┼─── τRd2 │2.3 │3.0 │3.6 │4.2 │4.7 │5.2 │5.6 │6.O │6.6 │7.2 ─────┴──┴──┴──┴──┴──┴──┴──┴──┴──┴─── |












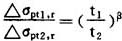
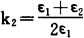
-Nsde2)有最大之差,此处M
系与e2相容之弯矩抵抗力,单由Nsd所影响同时符合第四十六条中之假设。



































ASTM American Scociety for Testing and Materials A235,A335,A400,A500 普通钢筋等级表示 B15,B20,… 混凝土等表示 FIP Federation Internationale de la Precontrainte. ISO International Organization for Standardization. CEB Comite Euro-internation al eu Beton. LNEC 葡国国立土木公程实验室 LNECE—… 葡国国立土木公程实验室规 格n.o.. NA 钢筋混凝土用热轧钢筋标准 NB 混凝土标准 NP—… 葡国标准n.o... RILEM Reunion Inerantionale des Laboratoires d'Essais et de Recherches sur les Ma teriaux et les Construc tions. REBAP 钢筋混凝土及预应力混凝土 结构规范 RSA 屋宇结构及桥梁结构之安全 及荷载规范 |





















