法令 第56/96/M号
核准屋宇结构及桥梁结构之安全及荷载规章——废止由一九六二年三月一日第19053号训令延伸至澳门之一九六一年十一月十八日第44041号命令
九月十六日
第一条(核准)
核准附于本法规且成为其组成部分之《屋宇结构及桥梁结构之安全及荷载规章》。
第二条(监察)
土地工务运输司(葡文缩写为DSSOPT)及其他促进公共工程之实体,负责监察对《屋宇结构及桥梁结构之安全及荷载规章》之遵守。
第三条(正在进行之工程及程序)
《屋宇结构及桥梁结构之安全及荷载规章》不适用于该规章开始生效时正在进行之工程及与土地工务运输司正在处理之发出准照程序有关之工程。
第四条(处罚制度)
因不遵守《屋宇结构及桥梁结构之安全及荷载规章》而适用之处罚制度为专有法规之标的。
第五条(废止)
废止核准《建筑屋宇桥梁章程》且由一九六二年三月一日第19053号训令延伸至澳门之一九六一年十一月十八日第44041号命令;该命令及训令均公布于一九六二年三月三十一日第十三期《澳门政府公报》。
第六条(开始生效)
本法规公布六十日后开始生效。
屋宇结构及桥梁结构之安全及荷载规章
第一编结构安全性之一般标准
第一章一般规定
第一条(标的及适用范围)
一、本规章之标的为制定一般规则,以确定结构安全,及对其安全确定时所采用之作用作出定义及制定其作用值。
二、本规章适用于一般屋宇、公路桥梁及行人天桥之结构,以及其他种类之结构物可作适度之修正而应用此规章。
第二条(符号及单位)
一、本规章所采用之符号系包含于ISO3898标准中,而其使用原则及相关定义将于附件一中说明。
二、本规章所选用之单位系统为SI单位制,系以八月二十四日第14/92/M号法律及以ISO1000标准为依据,以下为本规章所采用之物理量单位:
尺寸………………………………………m;
速度……………………………………m/s;
集中荷载及均布荷载…KN,KN/m,KN/m2;
容重、单位重………………………KN/m3;
压力……………………………………KPa;
温度………………………………………C;
频率……………………………………Hz。
第三条(结构安全性确定之一般标准)
结构安全性之确定应考虑各有关之极限状态,对结构承受外力作用下而达到之状态作比较,并且所采用之作用值之制定及其作用效应之组合均按照本规章中相应之规则进行验算。
第四条(极限状态)
一、整个结构或结构之一部分超过某一特定状态就不能满足设计要求之功能,此特定状态称为极限状态。
一般可分为以下两种极限状态:
a.承载能力极限状态:为结构到达将会丧失其结构稳定性、倒塌或显著之破坏结果之状态;
b.正常使用极限状态状态:为结构于所预定期间或重复使用时到达正常使用之某一项规定限值而不影响结构稳定性之状态。
二、对于正常使用极限状态,以下将对其设计基准期作三等级之定义:
a.极短期:此期间为对应于结构设计使用基准期之数小时;
b.短期:此期间为对应于结构设计使用基准期之百分之五;
c.长期:此期间为对应于结构设计使用基准期之一半。
三、当结构以刚体考虑时,必须考虑承载能力极限状态之情况,例如结构构件或断面中之过度变形,构件或结构整体之不稳定,结构力学性能之改变及结构局部或整体平衡之丧失等。
四、然而对于考虑正常使用极限状态之情况,例如结构于正常使用状态下之不相容变形,混凝土开裂并导致钢筋受到侵蚀或不美观,以及结构产生不适当之震动等。
五、建筑结构设计时,应考虑各种所指定之极限状态,及其有关之定义与特性,同时此概念对各种不同之结构型式及不同种类之材料也均适用。
第五条(结构上作用之分类)
为制定作用值及荷载组合之规则,结构上之作用可分为:
a.永久作用:在设计基准期内其值为固定值,或其变化与平均值相比甚少。例如结构主构体之自重及非主构体之重量、固定之设备重、土压力、某情况下之静水压力、预加应力、混凝土收缩效应及支承沉降等;
b.可变作用:在设计基准期内其值为可变,且其变化与平均值相比有某程度之变化量。例如楼板活荷载及其动力效应、风荷载、温度变化、雪荷载、支承间之摩擦力及静水压力和动水压力等;
c.偶然作用:在设计基准期内此作用出现之概率虽然很低,但应重视其结果,其值可根据由统计所得之标称值而制定。例如地震作用、爆炸、交通造成之撞击及火灾等。
第六条(作用值之制定标准)
一、根据各种情况,作用值可分为标准值、折减值及平均值三种。
二、永久作用所采用之设计债,若其作用值变异性不大,一般采用实际概率分布之平均值(Gm),但若作用值存有显著之变异性,则采用标准值(Gk),且其值应根据荷载之设计基准期概率分布之百分之九十五及百分之五而确定(即作用高标准及低标值)。
可变作用应采用标准值(Gk),其值应根据荷载之设计基准期最大荷载概率分布之百分之九十五确定(可变作用高标值)。于一般情况中,本规章对概率分布所考虑之结构设计基准期为五十年。但于风力作用计算时,风荷载标准值之确定应考虑回复期为二百年,系根据统计学上第一类极端分布评估而得。
三、可变作用之折减值为可变荷载标准值(Qk)乘以组合系数(Ψ),同时此值将会用于极限状态下之荷载组合情况中。
一般而言,以可变荷载标准值(Qk)表示之可变作用折减值,可分为下列几种:
Ψ0Qk——组合值;
Ψ1Qk——频繁值;
Ψ2Qk——准永久值。
在本规章中,将制定不同之可变荷载标准值Qk及其对应之组合系数Ψ0、Ψ1及Ψ2。
第七条(荷载组合之标准)
一、结构安全性之确定,应根据各种极限状态之设计要求,考虑其可能同时出现及对结构产生最不利效应之荷载组合。
二、对于各种不同之荷载组合情况均应对永久作用进行考虑,其作用值可依据作用对结构产生不利或有利之效应而采用永久作用高标值或低标值,然而可变作用则仅对结构产生不利效应之组合情况作考虑。
三、承载能力极限状态之结构安全性之确定,应考虑两种荷载组合情况,其相应之设计表达式将详细描述于第九条中:
a.基本组合,为永久作用与可变作用之效应组合;
b.偶然组合,为永久作用与可变作用之外,并与偶然作用之效应组合。
四、对于正常使用极限状态之结构安全性,其荷载组合之设计表达式应根据第十条之规定,及其组合情况应考虑达到正常使用极限状态之期间,因此以下为正常使用极限状态之三种作用效应之组合情况:
a.稀有组合:适用于极限状态出现于极短期之情况;
b.频繁组合:适用于极限状态出现于短期之情况;
c.准永久组合:适用于极限状态出现于长期之情况。
第二章结构安全性之确定
第八条(总则)
一、结构安全性之确定是按照第三条所述之一般标准为之,并同时应符合:
a.于极限状态而言,应对此状态下所定义之参数限值(如伸长量,变形量,裂缝宽度等)及由荷载作用于结构上并达到此状态而产生同类之参数值进行比较;
b.于荷载而言,应对作用之荷载值及导致结构达至极限状态时所须之同类荷载值进行比较;
c.于作用效应而言,应对荷载作用于结构上而产生之作用效应及结构达至极限状态时所得之作用效应进行比较。而一般之作用效应常指结构上之力、弯矩或内应力。
二、根据所考虑之极限状态和结构行为之理论,按照不同类型之结构物及不同构材之相应规章,并透过极限状态之定义,可建立出作用值、力、弯矩、内应力及有关参数之关系。
三、对于前所提及之结构安全性之确定规则,将适当地定义于第九条及第十条中,同时应考虑于第六条及第七条中所建立之作用值制定标准及荷载组合标准。
第九条(承载能力极限状态之结构安全性确定)
一、当不考虑结构体之失去平衡或结构材料之疲劳破坏时,承载能力极限状态之结构安全性之确定应符合下列要求:
Sd≤Rd此处:
Sd——作用效应之组合设计值(结构承受作用所产生之力、弯矩及内应力);
Rd——结构构件之抵抗能力设计值(构件本身所能承受之力、弯矩及内应力)。
本条中以作用效应组合设计值及结构构件抵抗能力设计值之比较作为结构安全性之确定准则之表达式。其中,当确定结构安全性时,可以选择相应之作用效应值及换抗能力设计值代入此表达式中作比较。
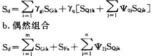
二、对于计算结构安全性之作用效应组合设计值(Sd.时,考虑此作用效应与外加作用为线性关系,则应考虑以下之荷载组合规定:
a.基本组合

SGik——永久作用之荷载效应值,此值选取作用标准值;
SQlk——首要可变作用之荷载效应值,此值选取作用标准值;
SQjk——次要可变作用之荷载效应值,此值选取作用标准值;
SFa——偶然作用之荷载效应值,此值选取作用标准值;
γg——永久作用之分项安全系数;
γq——可变作用之分项安全系数;
Ψ0j、Ψ2j——对应于第j个可变作用之组合系数。
三、对于作用之分项安全系数γg及γq(一般统称为分项安全系数γf·,其值系用于基本组合之计算,为于规章中统一表达各种结构及材料之安全性,其值应依下列指示而选取:
γg=1.35为永久作用对结构产生不利效应之情况下采用;
γg=1.00为永久作用对结构产生有利效应之情况下采用;
γq=1.50适用于所有可变作用。
倘若在基础安全性之确定时,可根据《地工技术规章》中之规定采用与以上不同之分项系数进行分析。
四、极限状态下计算结构构件之抵抗能力设计值,应依照有关结构规章中,对不同结构型式及构材考虑构件之断面承载能力。一般而言,材料性能设计值之确定应根据有关材料规章中所定义之材料性能标准值及材料性能安全系数γm作计算。
五、承载能力极限状态之安全确定,应对稳定作用及不稳定作用(结构之滑动及倾覆)之荷载效应值进行比较,然而此作用之荷载效应值为结构承受荷载产生之内力及弯矩。
若稳定作用之荷载效应值大于不稳定作用之荷载效应值,则在承载能力极限状态下结构可视为安全。而此荷载效应值之决定应依照第三款所述,选取适当之分项安全系数γf,及应用第二款中所指定之荷载效应组合,并加以计算而得。
六、对考虑疲劳状态下之承载能力极限状态之安全确定,应参照有关之规章,对不同类型之结构及构材,根据疲劳破坏标准而确定。
第十条(正常使用极限状态之结构安全性确定)
一、正常使用极限状态之结构安全性确定,一般而言,应以此状态下所定义之参数限值为依据,为于规章中统一考虑不同型式之结构及构材之安全性,其分项安全系数(γf·及材料性能安全系数(γm)均采用为1。
二、结构按正常使用极限状态设计应符合下列要求:
Ps≤Pl此处:
Pl——正常使用极限状态下所定义之参数限值(如最大容许裂缝宽度,最大容许挠度值等);
Ps——经由荷载组合分析后之同类效应参数值。
三、倘若考虑由正常使用极限状态所确定之参数值与外加作用为线性关系时,则应考虑以下之作用效应之组合规则。
a.极短期效应之极限状态情况-稀有组合:
在此荷载组合中,永久作用之设计值可采用其平均值(Gm)。而可变作用,首先考虑首要可变作用之设计值,其值一般采用标准值(Qk),同时,其余之次要可变作用之设计值可采用其频繁值(γ1Qk)进行作用效应之组合。

b.短期效应之极限状态情况-频繁组合:
在此荷载组合中,永久作用之设计值可采用其平均值(Gm)。而可变作用,首先考虑首要可变作用之设计值,其值可采用其频繁值(Ψ1Qk),同时,其余之次要可变作用之设计值可采用其准永久值(Ψ2Qk)进行作用效应之组合。

c.长期效应之极限状态情况-准永久组合:
在此组合中,永久作用之设计值可采用其平均值(Gm),而可变作用之设计值则采用其准永久值(Ψ2QK)。

此处:
PGim——永久作用下,经由分析后所产生效应参数值,此值取其平均值;
PQlk——首要可变作用下,经由分析后所产生之效应参数值,此值取其标准值;
PQjk——次要可变作用下,经由分析后所产生之效应参数值,此值取其标准值;
Ψ1j,Ψ2j——对应于第j个可变作用之组合系数。
第二编作用值之制定
第一章永久作用
第十一条(总则)
一、在结构安全确定中考虑永久作用时,其作用值之变化甚少,因此可将其平均值指定为设计所用之永久作用标准值。
二、对支承之承载能力及土压力设计标准值之制定,应注意选取适当之相关参数,并应遵照《地工技术规章》之规定。
三、若结构物与海水接触,应考虑平均海平面所对应之静水压力,并以永久作用考虑。而此作用中海平面相对平均海平面发生变化时,应与风力作用同时考虑,并根据由海事署编写之澳门水域环境“MeioHidricodeMacau”一书中所订立之指引进行分析。
第十二条(材料重量)
一、计算建筑物各构件之重量时,应根据此构件所使用之材料容重,并按实际使用情况进行评估。
二、在应用容重作计算时,若无其他更准确之材料容重资料,则可采用附件二中所列出之常用建筑材料容重值。
第十三条(建筑物间隔墙之重量)
建筑物设计时,应把荷载有效分布于楼板上,然而间隔墙之重量可视为一永久均匀分布荷载作用于整个楼板中。其值之估计,可取1米长度之固定墙壁,及根据其厚度和高度计算其重量之25%,并以每平方米此重量之均布荷载,作为间隔墙之荷载标准值。
第二章温度变化之作用
第十四条(总则)
一、对结构物在大气中温度变化产生之作用,可考虑两类型之温度变化情况:均匀温度变化及不均匀温度变化。
二、均匀温度变化为对应于每年之环境温度之变化,其变化为缓慢且连续之受热状况,故此可假定为结构各构件均承受均匀温度变化。
三、不均匀温度变化为对应于环境温度之迅速变化,其特性为每日改变或因不同气候而改变,故此可导致结构物承受大幅度改变之受热情况。
第十五条(均匀温度变化)
一、均匀温度变化之设计标准值系针对当地全年平均气温而确定,为于规章中统一各种结构及构材之安全性,可参照以下所列示之温差值作设计:
无保护设施之金属结构………+30℃及-20℃;
有保护设施之金属结构、钢筋混凝土、预应力混凝土结构及木结构…………………………………±10℃。
此处所提及之“结构保护设施”,系指能把热能从构件中隔开之良好隔热设施。
对在施工期间进行结构物各构件之安装时,温度之变化除根据当地全年平均气温外,并须以现场实际环境作全面之考虑。
二、在7当地全年平均气温下之均匀温度变化之设计折减值,可透过以下之荷载组合系数求得,分别为Ψ0=0.6;Ψ1=0.5;Ψ2=0.3。
第十六条(不均匀温度变化)
不均匀温度变化之情况系根据结构之受热特性对每一个别情况作考虑。在分析及设计时,并同时可参考对于不同型式之结构物在此同题上之专业技术规章。
第三章风力作用
第十七条(风力作用之制定)
一、风力作用系空气在建筑物之间移动,对结构物所造成之相互作用,并且风压力系作用于结构物之表面。
阵风速度之设计标准值Vkh,系离地高度h之函数,并由地面粗糙度而分类,可经由下列表达式求得。在此表达式中,第一部分系对应于风力之平均速度,而第二部分则考虑乱流导致风速产生波动之影响。

此处:
Vkh——离地h高度处之阵风速度标准值,以每秒米(m/sec.表示;
h-离地高度,以米(m)表示。
位于靠近沿海地带,风力可由海中直接吹袭地区之建筑物,可考虑为第一类粗糙度情况。而其他情况则可以第二类粗糙度作考虑。
对位于斜坡之建筑物,计算离地高度,应以图一所定义之参考面求得,此处以虚线表示。
二、风力作用一般可考虑为水平作用于任何方位上。
三、风力作用所采用之数据系根据澳门地球物理暨气象台所提供之资料进行分析,此风力资料于嘉乐庇大桥及大炮台中录得。所采用之风荷载标准值系对应于以二百年为回复周期所量度之阵风速度,并根据统计学上第一类极端分布评估而得。

第十八条(风力作用对结构物影响之决定)
一、风力作用对结构物之影响情况,可由理论分析方法或经验法求得,同时应考虑上条之建议及结构物之空气动力特性而确定。
二、于一般情况中,计算由风力作用所产生之外力,可透过简化结构物之形状,同时假设此外力作用于建筑物之表面,并为静压力。然而此静压力之求得,可由第十九条所定义之风荷载标准值乘以空气动力系数(此处为形状系数),并将定义于第二十条中。然而,此简化程序计算所得之结果并不能满足于分析结构承受较低结构自然频率之震动,或分析容易受到不稳定空气动力所影响之结构,或分析在风力作用方向之横向上承受显著震动之结构等。对此类情况在分析时应采用结构动态分析。
三、对评估由风力作用导致结构物产生之最大位移之影响,可根据结构物之结构类型及相关规章中所定出之容许最大位移值来确认。
第十九条(风荷载标准值)
一、离地面任一高度h处之风荷载标准Wkh,可由其相应高度h处之阵风速度标准值Vkh求得,其表达式为:

此处:
Vkh——离地面h高度处之阵风速度标准值,以每秒m/s表示;
Wkh——离地面h高度处之风荷载标准值,以kPa 表示。
计算风荷载标准值时,可透过以上之表达式,或采用表一所建议之简化形式。在表一中,将风力作用于建筑物上之不同高度分为数个固定范围之阶梯式风压图,并定出各高度范围内对应之风荷载标准值及阵风速度值。当采用此简化方式时,应按结构物之整体高度细分为指定之阶梯式高度,并分别对每区段求其风荷载值之合力。
二、风荷载之折减值应依照以下之系数确定Ψ0=0.4;Ψ1=0.2;Ψ2=0。然而,若结构之使用情况为第二十七条第三款及第四款所指定之楼宇用途,当以风力作用为首要可变作用,并进行荷载组合时,应采用Ψ0=0.6。

第二十条(形状系数)
一、计算风力作用时,在此采用两种不同之形状系数:风压系数及风力系数,对该两形状系数之说明及目前较常使用之情况,请参阅附件三。
二、风压系数δp,系用于计算风力作用于建筑物上所产生之压力值Ph,而此压力可作用于建筑物之某一特定之表面上或某一区间上,并正交于其表面,可表达为:
Ph=δpWh建筑物由于风力作用在其表面承受风压力,而此压力对建筑物上之构件,可视为外压力及内压力之相互作用结果。然而计算外压力可透过外风压系数δpe,该系数之大小取决于建筑物之形状、风力作用方向及风力之大小等。若建筑物表面出现开孔之情况,则会导致内压力之产生,而此内压力之计算可透过内风压系数δPi,该系数之决定除取决于前述之因素外,并应考虑建筑物上开孔位置之分布情况。对风压力作用于构件表面时,外风压系数δPe及内风压系数δPi分别以正号或负号来表示该压力作用在构件表面系压力或吸力。
三、风力系数δf,系直接计算风力作用于建筑物上或任一构件中,所造成之作用合力F,可表达为:
F=δfWhAh在上式中,Ah系风力作用于结构立面上之投影面积,亦即结构承受风压之平面,垂直投影于与风向成正交之平面上之面积,并应根据上条中之简化形式,求出此面积区间中,相应高度下之风荷载标准值Wh,并可应用上式计算作用合力。
第四章地震作用
第二十一条(地震作用之制定)
一、地震作用系地震发生期间,土体产生震动,并经由土壤传递到结构体中而产生之作用。
二、地震作用之荷载标准值,根据建筑物位于不同之地震区域而有所不同,在设计时可透过震力系数αE反映不同地震区域之地震情况。然而,在整个澳门地区中,属于较小之地震等级,并选取震力系数为0.5。
三、在一般情况下中,只须考虑地震作用于水平方向上,对一些对震动特别敏感之结构物才考虑地震作用于垂直方向上。
第二十二条(地震作用效应之决定)
一、桥梁及屋宇设计须遵照以上所定之要求,并根据简化模式决定地震作用效应。在分析时,可考虑地震力分别作用于结构物之两个方向,并利用第二十三条所定义之地震影响系数以及第二十四条所指定之方法,分别按结构高度建立水平地震力之竖向分配,并可以此计算出结构线性行为内之地震作用效应。
地震分析时,楼宇应符合以下之要求:
a.结构平面中,质量与刚度不应有不成比例之分布出现;即在每一方向上各楼层之质量中心与刚度中心间之距离不可大于该方向上结构物宽度15%;
b.随着结构高度之增加,质量与刚度不可出现过大之变化;
c.结构框架应系正交之网格式及应避免过大之变形出现;即结构物之基本自然频率大于0.5Hz及大于8除以楼层数目之商数时,可视为并不出现过大变形;
d.承受地震水平静力作用之各楼层可考虑为不变形平面。
地震分析时,桥梁应符合以下要求:
a.必须以垂直支柱作为上部结构之支承;
b.对于桥梁纵轴为近似直线和桥支座方向成一夹角时,此情况可不予考虑;
c.桥梁各跨距不应有过大之改变,而且桥梁纵轴之垂直面应为结构对称平面。
二、对不能满足上款要求之结构物,可把结构视为存有某程度之延性,以静态分析之简化方法求取地震作用效应。
然而,对于其他情况,得以动态分析方法决定地震作用效应。
三、倘若考虑地震作用于垂直方向时,可将作用于水平方向之地震总水平静力折减三分之一考虑为作用于垂直方向上之地震总静力,并应用简化模式决定此方向之地震作用效应。
四、计算地震作用效应时,在初步分析中,倘若结构任何两个相邻垂直支承构件之相对位移小于此相邻构件之距离之1.5%,则不需对结构之整体不稳定性作考虑。
第二十三条(地震影响系数)
一、对符合上条第一款所描述之结构物,定出地震分析之方向,并确定地震影响系数,当该系数乘以结构之重力荷载作用值便得出结构总水平地震作用静力债。然而重力荷载作用值系结构物之永久荷载及准永久荷载之总和,最后将该总水平地震作用静力值适当地分配于结构中,便可藉此求得该方向上之地震作用效应。
二、地震影响系数βE一般采用0.33αE。但若结构物在分析之方向上视为存有某程度之延性,则可根据该类结构之破坏准则,将影响系数折减至0.24αE,而该折减方法并不适用于第三组作社会设备用途之建筑物。
第二十四条(水平地震作用静力值之分配及确定)
一、根据上条之定义,应用地震影响系数便可定出结构总水平地震作用静力值。在设计时应假设地震力分别作用于两个方向,并应同时作考虑。而总水平地震静力应按结构物各楼层不同之质量作分配,并且地震影响系数、楼层质量和结构之变形模式均系此地震静力之函数。
二、对于一般屋宇,水平地震静力可假设为作用于不同楼层上,并可将各楼层视为不同高度之质点。一般而言,只须考虑水平方向之地震作用就已经足够。
对应于已定之地震分析方向,质点i之水平地震作用静力值Fki可按下列公式确定:

此处:
βE——对应于设计方向上之地震影响系数;
hi——从地面至质点i之高度值;
Gi——为集中于质点i之永久荷载值及准永久荷载值之总和;
n——从地面算起质点或楼层之数目。
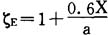
然而,此水平地震静力应考虑为同时作用于各质点或楼层上,并以e1i或e2i之偏心距离通过质心位置,于设计时应考虑较不利之偏心情况。从图二中,可由质心定出偏心之位置,并说明偏心距离之求取方法。

若结构于地震方向上存在一结构对称平面,而抗震构件系均匀布署于其上。在地震分析时,地震之偏心作用效应可考虑为作用于此对称面上之总水平地震静力及ξE系数之乘积,此系数将定义为:

X系前述对称面与所考虑之构件间之距离。
三、于桥梁分析中,地震力可考虑为水平作用于桥梁上,并集中作用于桥梁质量较大之地方,故可把结构适当地按质量分为数个质点,并将水平地震静力作用于其上。
对一已定之地震设计方向,质点i之水平地震作用静力值Fki可按下列公式确定:

此处:
——对应于设计方向上,结构物之基本自然振动
频率,可由动态分析中求得;
βE——对应于设计方向上之地震影响系数;
G——为集中于质点i之永久荷载值及准永久荷载值之总和;
di——对应于设计方向上,荷载Gi作用于结构上所导致之位移值;
g——重力加速度。
第五章屋宇特别荷载
第二十五条(总则)
一、在本章中讨论及制定屋宇设计所使用之活荷载值标准,然而此活荷载值系根据屋宇之用途不同而有所改变。基本上可分为屋顶活荷载、楼板、露台、通道之活荷载、以及作用于栏杆与女儿墙上之活荷载。
二、对其他不属于屋宇使用时出现之活荷载,将于本规章之相关章节中订立。
第二十六条(屋顶活荷载)
一、为着本条之效力,把屋顶定义为下列两类:
a.可上人屋顶-此屋顶之组成系建筑物主构件之一部分,且系一般正常使用之楼板,及有预定之用途及目的;
b.不可上人屋顶-此类屋顶系不允许任何人进入,只在进行维修时才可通过。
二、对由人群集中所造成屋顶之作用荷载标准值之考虑,如下列所示:
a.可上人屋顶:在此类屋顶中,屋顶荷载标准值可考虑为2.0KN/m2之均匀分布荷载作用于其上,但倘若此屋顶要承担某些特别之功能及用途时,就应按照其用途类型,并根据第二十七条及第二十九条之规定去考虑适当之荷载标准值;
b.不可上人屋顶:在此类屋顶中,屋顶荷载标准值可考虑为1.0KN/m2之均匀分布荷载作用于其上,但对于工业建筑物之不可上人屋顶可采用0.5KN/m2之均匀布荷载作为荷载标准值。
三、于一般情况中,屋顶荷载并无作用荷载折减值。然而,倘若可上人屋顶在使用上,其主要荷载并不是由于人群集中之情况而产生(可参考第二十七条第三款之使用情况),可以根据第二十七条第五款中之规定适当地采用荷载折减值。
第二十七条(楼板活荷载)
一、楼板活荷载之确定,根据《城市屋宇总规章》中所采用之住宅楼宇分类,并按照设计时预知之楼板用途而制定出楼板荷载标准值,并将于下加以说明。
二、在该类用途中,楼板之主要荷载为人群集中所造成,而荷载标准值之采用系根据下列之楼板用途型式,并可参阅附件四之说明。
a.设计区间预定为私人用途之性质…2.0KN/m2;
b.设计区间预定为聚集用途之性质,并没有特别之集中情况出取………………………………3.0KN/m2;
c.设计区间预定为聚集用途之性质,并有中等程度之集中情况出现……………………………4.0KN/m2;
d.设计区间预定为聚集用途之性质,并可能有高度集中情况出现………………………………5.0KN/m2;
e.设计区间预定为聚集用途之性质,并可能有非常高度集中情况出现………………………6.0KN/m2。
倘若结构构件或基础所支承之楼层数目大于2时,在计算构件支承力及基础设计时,允许将活荷载乘以折减系数αn予以折减,αn可由下式求得:

此处:
n——结构构件或基础所支承之楼层数目。
倘若梁于其跨度内所支承之楼板面积大于20m2,则
梁设计时,允许将活荷载乘以折减系数αA予以折减,αA可由下列公式求得:

此处:
A0——10.0m2;
A——梁跨度内所支承之楼板之影响面积。
三、然而,若楼板之主要荷载并不是因为人群集中所造成,则楼板荷载可根据每个别使用情况,作出适当之调整而建立出荷载标准值。对某些使用情况,可考虑下列之荷载最小值,即设计时所用之荷载不可小于此值。
a.存放重型设备之办公室,非住宅用途建筑物之厨房…………………………………………4.0KN/m2;
b.大型文件,档案储存室……………5.0KN/m2;
c.轻工业厂房之工作室…………………5.0KN/m2;
d.轻型车辆之车库
个别的……………………………4.0KN/m2;
公共的…………………………………5.0KN/m2;
e.停车场,专为轻型车辆之停放及乘客使用,并不允许较大型之车辆使用以及不能进行任何维修活动。而该类停车场之一般净高度限制,从地面算起约为2.20米,在设计时,可用2.0KN/m2之均匀分布荷载作为活荷载值,当考虑较不利之情况时,可采用相距1.80m之两车轮所成之轮轴,以边长为0.2m正方形之车轮着地接触面积,考虑每一车轮传递10KN集中荷载为活荷载。
四、对预留作停车用途之楼板,根据《防火安全规章》中消防车及其自动云梯之驾驶及操作,该楼板应能承载总重为230KN且由每两车轮所成之轮轴间之距离为4.5m之车辆,其平面配置及大小将示图三中。然而经由每一轮轴所传递之车辆荷载Qr及车辆与地面之接触面尺寸a及b.如图三所示:

五、当设计时不能明确定义间隔墙之正确位置,甚至之后由使用者自定。对该情况,设计时考虑之间隔墙重量应根据第十三条之规定,计算墙身之重量,并换算为每平方米之均匀分布荷载作用于楼板上。
六、楼板荷载之折减值系透过Ψ系数表示,并列示于表二中。

第二十八条(露台活荷载)
一、对露台、或与露台提供同类功能之地方(例如某些看台)之荷载标准值,可考虑邻接于女儿墙之1m宽度露台采用5.0KN/m2之均布荷载值,而其余之露台表面,可按照第二十七条及第二十九条之规定,以其相邻区间之荷载值作不该余下部分之荷载标准值。
二、露台活荷载折减值,通常均采用与露台邻接之区间之荷载折减值作为露台荷载折减值,并且露台荷载应考虑为均布荷载作用于整个露台表面。
第二十九条(连通道活荷载)
一、连通道活荷载系指一般之楼梯、斜坡道、弯道、穿廊、走廊及回廊之作用荷载。对大部分之作用情况,应采用与该连通道相接之楼板荷载作为该连通道荷载标准值,但该处对住所内部之走道及连通道则属例外情况。并且该标准值不应少于下列之荷载值:
于私人地方上……………………3.0KN/m2
于公共地方上……………………5.0KN/m2
二、对预留作停车用途之通道,根据《防火安全规章》中消防车及其自动云梯之驾驶及操作,该通道之楼板应能承载具有第二十七条第四款所定义之特性之车辆及其荷载。
三、连通道荷载折减值,通常透过系数Ψ表示,并采用与该连通道相接之楼板荷载折减值作为该连通道之荷载折减值。
第三十条(活荷载之动力效应)
在本章中已先后对不同使用情况定出活荷载标准值,但在设计时也须相应地考虑动力效应。然而此活荷载之动力效应可由机器之震动,高架起重机及机械设备之配置而产生,因此在设计时应按照实际情况,适当地加以考虑其产生之动力效应。
第三十一条(栏杆及女儿墙之活荷载)
对建筑物上之栏杆及女儿墙之荷载,可考虑为一均布荷载水平作用于栏杆或女儿墙之上方,而其荷载标准值如下所示:
a.位于私人用途之地方…………1.0KN/m;
b.位于聚集用途之地方,并无集中或中等程度集中情况出现…………………………2.0KN/m;
c.位于聚集用途之地方,并有可能有非常集中情况出现…………………………………3.0KN/m。
对于栏杆及女儿墙荷载,并无荷载折减值。
第六章道路桥梁之特别荷载
第三十二条(总则)
一、本章中所要制定之荷载系与交通道路有直接之关系,其中除活荷载标准值外,还包括其固有效应(如离心力、制动力和起动力),同时对于行人道上之荷载,道路栏杆及防栏上之水平荷载,以及风力对车辆之作用均一一作讨论。
然而对其他不属道路桥梁所指定之作用,将于本规章其他章节中订立。
二、在考虑离心力及制动力(或起动力)之作用效应时,通常以一荷载作用之形式计算离心力及制动力之效应,而该荷载值之大小系直接取决于车辆荷载而得。
在设计及分析时,并不须考虑离心力及制动力(或起动力)于同一时间出现,并产生作用。
第三十三条(活荷载)
一、于道路桥梁中,考虑车辆于行车线上移动,大致上可把作用荷载区分为两类,其定义及相应之道路桥梁荷载标准值将于下列段落中加以说明:
a.车辆以每两轮为一轮轴,并视为等间距之三轮轴分布,而车辆之平面位置及车轮及地面之接触面大小将示于图四中。

经由每一轮轴所传递之车辆荷载Qr及车轮与地面之接触面尺寸(a及b.如下所示:
Qr=200KN;a=0.20M;
b=0.60m;
b.可将作用荷载视为一均匀分布之面荷载qr1,及单一之均布线形荷载qr2横向作用于道路桥梁上,其值如下:
qr1=4KN/m2;qr2=50KN/m2;
然而此荷载之折减值,可透过下列系数求得:
Ψ0=0.6;Ψ1=0.4;Ψ2=0.2。
二、对上款所定义之车辆荷载,在设计时考虑面荷载作用于纵向上,并应考虑线荷载横向作用于最不利之位置上。根据车辆在道路桥梁上运行,应定出各车道之位置及方向,但通常将车轴视作平行于桥梁之纵轴方向。然而,若道路桥梁中有两条车道,且此两车道为相同行车方向,则在分析时,应考虑车辆荷载分别作用于各车道上或荷载同时作用于两车道上,对多车道之道路桥梁均应以此进行核算。
三、考虑土压力对道路桥梁所造成之荷载效应时,得假设一均布荷载作用于车道上,其标准值为10KN/m2。而该荷载之折减值可参考第一款所定之Ψ系数值。
第三十四条(离心力)
位于曲线上之桥梁,应考虑离心力之作用,而该离心力可视为一水平力法线方向作用于桥梁纵轴,离心力之着力点可简化地视为作用在桥面上。在设计时,离心力等于均布之车辆荷载乘以离心力系数αr,当考虑折减情况时,将此离心力乘以折减系数βr而得出新之设计值,其中各系数之表达式为:

此处:
Vr——弯道上之最大设计行车速度,以每小时千米表示(km/h);
r——曲率半径,以米表示(m)。
折减系数βr为:

此处Vr同为以上定义之行车速度,亦以每小时千米表示(km/h)。
第三十五条(制动力)
制动力为车辆在桥梁上改变速度或刹车时,对桥面所造成之合作用效应,此制动力可视为一纵向之均布荷载,平行于桥梁纵轴方向,而水平作用于桥梁上,其着力点可简化地视为作用在桥面上。在计算制动力时,此纵向均布荷载可考虑为某一宽度下之线形均布荷载,其荷载标准值为30KN/m。
第三十六条(道路桥梁之行人道、栏杆及防栏之作用)
一、对道路桥梁上之行人道,在设计时应考虑一均匀分布荷载或一集中荷载作用于其上,并以其最不利之情况作设计。其相应之荷载标准值为3KN/m2及20KN。
行人道上之均布荷载折减值,可由以下之Ψ系数求得:
Ψ0=0.6;Ψ1=0.4;Ψ2=0.2对行人道上之集中荷载则无荷载折减值。
二、对道路桥梁上之栏杆,在设计时应考虑一线形均布荷载水平作用于栏杆之上方,其荷载标准值为1.5KN/m,该栏杆荷载并无荷载折减值。
三、对道路桥梁上之防栏,在设计时应考虑一水平之集中力,以法线方向或切线方向作用于防栏上,其荷载标准值为20KN,该防栏荷载并无荷载折减值。
第三十七条(车辆上之风力作用)
车辆上之风力作用,主要为风力作用于车辆上,并经由车辆把作用效应传递到道路桥梁中。决定此效应时,应根据第三章之规定。在此风力作用面可考虑为地面至2.5m高之矩形范围作为受风面。
第七章行人天桥之特别荷载
第三十八条(总则)
在本章中制定行人天桥之桥面板上之活荷载及作用于行人天桥之栏杆上之活荷载,然而此荷载并不包括单车及电单车之重量。
对其他不属该行人天桥所指定之作用,将于本规章其他相关之章节中订立。
第三十九条(活荷载值)
于分析设计行人天桥时,可考虑荷载作用于桥面板上最不利之位置,并可视为一均匀分布荷载作用于其上,而荷载标准值可考虑为4KN/m2。
荷载之折减值可透过以下系数求得:
Ψ0=0.4;Ψ1=0.3;Ψ2=0.2
第四十条(栏杆上之作用)
对行人天桥上之栏杆,可考虑为均布荷载水平作用于栏杆之上方,其荷载标准值可考虑为1.5KN/m,且并无荷载折减值。
附件一根据ISO3898规定所选定之符号说明
大写拉丁字体
A作用
F风压力所造成之合力
Fa偶然作用
G永久作用
Q可变作用
Qr经由车轴传递之车辆荷载
R抵抗力
S作用效应值
小写拉丁字体
a,b车辆着地时接触面之尺寸
d距离
e计算地震效应之静力偏心距离
f某一震态下结构体之基本自然震动频率
g重力加速度
h离地高度
P正常使用极限状态之安全校订参数
qr1qr2道路桥梁之车辆均布荷载设计值r曲率半径
Vkh离地h高度处之风速标准值
Vr弯道上之最大设计行车速度
Wkh离地h高度处之风荷载标准值大写希腊字母
Ψ可变作用之荷载组合系数
Ψ0可变作用代表值之荷载组合系数
Ψ1可变作用频繁值之荷载组合系数
Ψ2可变作用准永久值之荷载组合系数小写希腊字体
αr离心力计算之α系数
αE震力系数
βr离心力计算之折减系数
βE地震影响系数
γf作用分项系数
γg永久作用分项系数
γm材料性能分项系数
γq可变作用分项系数
δp风压系数
δf风力系数
ξE地震作用下之地震力放大系数
下标指示
d意指某一物理量之设计值
k意指某一物理量之标准值
m意指某一物理量之平均值


附件三风力作用之形状系数
1.风力系数δf
1.1闭合式建筑物
风力系数δf系应用于整个建筑物上,但假若建筑物由个别独立单元组成,并形成高底状且凸出于一般屋顶,在此情况中,应将建筑物之各单元作独立分析。
对闭合式建筑物之风力系数δf,可由系数Ch,Cs用RA之乘积求得:
δf=ChCsRA
于下列表一至表三中,分别根据建筑物外观之大小,建筑物之几何平面,以及垂直于风向之建筑物正投影面积来求取系Ch,Cs及RA之数值。



1.2开孔式建筑物
对开孔式建筑物之风力系数δf可从表四求得,而该系数为与开孔总面积及外观表面积成一比例关系,并由Φ值表示。
然而Φ值系建筑物在受风面上之正投影面积与该面上建筑物外围和开孔内部之总面积之比值。

2.风压系数δp
2.1外风压系数δpe
对一般较常出现之矩形平面之建筑物,其外风压系数值将列于表五至表七中。




2.2内风压系数δpi
于2.1节中,系考虑无内部开放平面之情况。但假若内部开放平面存在,且无任何阻隔气流之循环作用,则应以下列之简化方式求取内风压系数,然而该内风压系数值将受外墙上之开孔分布情况及其特性而有所影响。
a.当强风发生并产生作用时,若建筑物表面存在着极少之开孔情况,但仍应视其表面为可透风外墙,基本上系因为外墙上窗户在使用上并不可能完全关闭,因而导致有透风情况出现,因此可考虑下列之两种情况求取内风压系数:
两个受风面为相近透气性,及其余两个受风面为不透气之δpi为:
风向为垂直于透气表面…………………δpi=+0.2
风向为垂直于不透气表面………………δpi=-0.3
四个受风面均为相近之透气性…………δpi=-0.3
b.当强风发生并产生作用时,若开孔存在于建筑物之一表面上或多个表面上,对于其主要之开孔面,其内风压系数δpi应为其对应之主要开孔面之外风压系数δpe之75%。若开孔位置位于建筑物表面上,并为一特定之外风压系数δpe(局部作用时),则可利用此δpe值决定δpi。
然而当建筑物之内部开放平面为不利于气流之循环作用时,则其内风压系数值应采用适当之数值。在这种情况下,内风压将随着迎风面到背风面作出改变,其性能将取决于不同间隔墙之透风性能之大小。
附件四按不同使用形式下,建筑物各主要部份因承受人群集中而造成之荷载值
楼宇按其用途及占用种类,根据《城市屋宇总规章》之规定,可分为不同之“使用组”。
第一组作住宅用途之建筑物
住宅、宿舍、收容所、兵营及同类型之其他楼宇。

第二组作旅馆业用途之建筑物
酒店、客栈、旅店、公寓及同类型之其他楼宇。
于表二中所指定之活荷载值,仅适用于主要荷载为人群集中所造成之情况。

第三组作社会设备用途之建筑物
警察局、医院、疗养院、医务所、学校、中学、幼儿园及同类型之其他楼宇。
于表三中所指定之活荷载值,仅适用于主要荷载为人群集中所造成之情况。

第四组作服务性行业之建筑物
政府办公室、行政部门、写字楼、机关、银行、旅行社、警署、邮政大楼、诊所、理发廊及同类型之其他楼宇。
于表四中所指定之活荷载值,仅适用于主要荷载为人群集中所造成之情况。

第五组作商业用途之建筑物
商店、时装店、商业中心、超级市场、集市或展览场地等。
于表五中所指定之活荷载值,仅适用于主要荷载为人群集中所造成的情况。

第六组作工业用途之建筑物
工作场所、工厂及仓库。
于表六中所指定之活荷载值,仅适用于主要荷载为人群集中所造成之情况。

第七组作公众聚集用途之建筑物
电影院、剧场、表演厅、音乐厅、夜总会、舞厅、的士高、电台及电视制作室、酒楼/餐厅、礼堂、赌场、博物馆、图书馆、社区中心、俱乐部、教堂及其他拜祭机构、会议厅、体操及游泳场、娱乐园地及有公众看台之体育场。
于表七中所指定之活荷载值,仅适用于主要荷载为人群集中所造成之情况。
