法令 第47/96/M号
核准土地技术规章
八月二十六日
第一条(标的)
核准附于本法规并成为其组成部分之《地工技术规章》。
第二条(监察)
土地工务运输司(葡文缩写为DSSOPT)及其他促进公共工程之实体,负责监察对《地工技术规章》之遵守,并跟进其执行。
第三条(正在进行之工程及程序)
《地工技术规章》不适用于该规章开始生效时正在进行之工程及与土地工务运输司正在处理之发出准照程序有关之工程。
第四条(处罚制度)
因不遵守《地工技术规章》而适用之处罚制度为补足法规之标的。
第五条(废止性规定)
废止所有与《地工技术规章》之规定相抵触之法例。
第六条(开始生效)
本法规公布六十日后开始生效。
地工技术规章
第一章一般规定
第一条(标的)
一、《地工技术规章》,适用于楼宇及其他结构之基础地工计划。
二、《地工技术规章》论及地工结构物之强度,稳定性,实用性及耐久性方面之要求。
三、《地工技术规章》应与《结构安全及荷载规章》结合使用,该规章建立总体安全标准以及确定结构安全度之方法。
四、《地工技术规章》规定如土压力等由地基土体产生之作用力之计算原则,在设计中所考虑建筑物及土木工程结构物之荷载大小,在《结构安全及荷载规章》中提供。
五、《地工技术规章》之实施还包括应对所用之施工材料及产品质量之指定,以及现场制作工艺需符合设计原则中之假设。通常与施工实施及工艺有关之原则被认为是最起码要求,这些要求可能被进一步发展成特殊之建筑及土木工程构造物形式及特殊施工方法。
第二条(原理及应用法则间之区别)
一、本规章包括原理及应用法则。
二、原理是建立概念及定义,其要求及分析方法,除非特殊说明,否则也不允许变更。
三、应用法则是符合原理及满足其原理要求,通常是被认可法则之例子。
四、使用与《地工技术规章》规定之应用法则不同之替代法规属允许,只要该等替代法规被证明符合相应之原理。
五、应用法则之文本以较小之字体印刷,并以简写RA作开头。
第三条(基本条件)
必须审查下列基本条件:
a.设计所需之数据已被收集、记录及解释;
b.结构物由具有适当资格及经验之人员设计;
c.数据收集、设计及施工人员间存在着足够之连续性及联系;
d.在工场、车间及现场,已提供足够之监督及质量控制;
e.施工系由具恰当技术及经验之人员根据有关标准及说明书进行;
f.施工材料及产品是按照本规章或相应之材料或产品说明书来使用;
g.结构物有足够之保养;
h.结构物系按计划所定之目的来使用。
第四条(《地工技术规章》所使用之术语)
下列术语在《地工技术规章》中使用:
a.类似经验:指与地基相关,已经以文件形式记录或以其他形式清楚建立之资料,与设计中所考虑之地基,包括同一类之土体及岩体,该等地基将出现相似之地质特性,并包含相似之结构物,地区性所获得之资料被认为系特别相关;
b.地基:是指在施工开始前已存在之土体,岩体及回填土体;
c.结构:除了正常所指之结构概念以外,本规章所指之结构还涉及工程施工期间之回填土体。
第五条(单位)
国际单位(S.L.)之应用应符合ISO1000之要求。
RA对地工技术计算来说,推荐使用下列单位:
——力………………………………………………kN,MN
——弯矩……………………………………kNm
——质量容量………………kg/m3,Mg/m3,t/m3
——容重…………………………………kN/m3
——应力、压力、强度………………kN/m2,kPa
——劲度……………………………MN/m2,MPa
——渗透系数…………………………m/s,m/year
——固结系数………………………m2/s,m2/year
第六条(符号)
本规章所用之符号符合ISO3898标准之要求,适用于所有规章之符号在《结构安全及荷载规章》中定义。本《地工技术规章》所使用之符号在附件一中定义。
第二章地工设计基础
第一节一般规定
第七条(设计要求)
一、结构物之设计应符合澳门《结构安全及荷载规章》之规定。
二、为了建立对地工勘测范围及质量、计算及施工控制检查之最基本要求,应明确每一个地工设计之复杂程度,以及对生命财产之风险程度,尤其应注意区别下列事项:
a.轻型及简单之结构物以及小型之土方工程,可根据经验及具质素之地工勘测,从而保证其满足基本要求,并可忽略对生命及财产之风险(参照本条第四段中之地工分类一);
b.其他地工结构(参照本条第四段中之及地工分类二及三)。
RA对于那些如上所述之地工复杂程度低、风险性低之工程项目,可采用简化之设计程序。
三、在确定地工设计要求时,应考虑下列因素:
a.结构及其单元之性质及尺寸,包括任何特殊之要求;
b.周围环境条件(邻近结构、交通、公共设施、绿化情况、以及危险化学品等);
c.地基条件;
d.地下水情况;
e.地震情况;
f.环境影响(水文、地表水、沉陷、湿度之季节性变化等)。
四、为了建立地工设计之要求,介绍三类地工分类,一类,二类及三类:
根据地工分类对结构物所进行之初步分类,应在地工勘测前进行。该地工分类其后可能更改。地工分类应根据每一阶段之设计及施工过程进行审查,甚至作出更改。
RA工程项目之各个设计部分可根据不同之地工分类进行处理。不需要把整个工程项目按地工分类中最高一级来处理。
较高一级地工分类之程序可用来处理比较经济之设计,或者设计者认为比较合适者。
五、地工分类-仅包括小型、或相对简单之结构物:
a.本类地工结构可根据经验及具质素之地工勘测,保证基本要求会得到满足;
b.可忽略对生命及财产之风险。
地工分类一之程序,是能够从类似经验获得充足之地基情况,对基础之设计及施工可直接使用常规之方法来进行。
地工分类一之程序,仅当在没有水下开挖时,或者从类似之当地经验指出,拟采用之水下开挖可直接进行时,才可采用。
RA下列是符合地工分类一之结构物或结构物部分之例子:
a.简单之一至二层房子及农用建筑物,其最大设计柱荷载250kN,最大设计墙荷载为100kN/m,且采用常规扩大基础或桩基础形式;
b.与地面高差小于2米之挡土墙及开挖支撑;
c.排水工程、管道铺设等小型开挖。
六、地工分类二包括常规之结构型式及基础型式,没有非一般高风险或地基及荷载方面不寻常或严重困难之情况,属于地工分类二之结构物需要定量之地工数据及分析,以保证满足基本要求,但可采用一般程序进行工地及室内试验以及设计及施工。
RA下面列举之符合地工分类二之结构物或结构物部分之例子,常规型式:
a.扩大基础;
b.筏形基础;
c.桩基础;
d.墙及其他支挡,或保存土体或水体之结构物;
e.开挖;
f.桥柱及墩台;
g.土堤及土方工程;
h.土锚及其他锚固系统;
i.在硬质、无裂隙之岩体中之隧道,且不牵涉特殊之水密性或有其他特别要求。
七、地工分类三包括不在地工分类一及二范围内之结构物或结构物部分。
地工分类三包括很大型或不寻常之结构物,负有不寻常高风险,或有地基及荷载方面不寻常或严重困难情况之结构物。
八、除了对工程设计负责人员有现行法律之要求外,对设计地工分类二及三建筑物之负责人员还有额外要求,即必须是具有足够地工技术知识及经验之土木工程师。
九、地工设计所考虑之每一个情况都需证实没有超过相应之界限状态。
RA本设计要求可通过下列工作来达到:
a.采用第十条到第十五条规定之方法计算;
b.采用第十六条规定之习惯方法设计;
c.采用第十七条规定之试验模型或荷载试验方法;
d.采用第十八条规定之观测方法。
该四种方法可组合一起使用,实践经验中经常指出那一套之界限状态会控制设计,并可通过粗略之控制检查证实避免其他界限状态之发生。
十、应考虑结构及地基土体间之相互使用。
RA界限状态下应考虑材料间之应变相容性,尤其是脆性材料或那些具有应变弱化特点之材料。如超配筋混凝土,密实砾石土、水泥胶结土及具有小残余强度之粘土。有必要允许考虑结构及地基土体相对刚度之详细分析,以防出现结构单元及地基之组合破坏。这方面之例子包括筏式基础、横向受荷桩及柔性挡土墙结构。
十一、建筑物应防止地下水渗入,或蒸气与气体侵入其内表面。
十二、尽可能使用类似经验检查其设计结果。
第八条(设计所考虑之情况)
在地工设计中,设计情况之详细说明应适当包括:
a.结构坐落位置处地基之总体适合程度;
b.包括在计算模式中各区域土体、岩体及施工单元之特性及分类;
c.岩层平面之倾向;
d.洞穴或其他地下结构物;
e.当结构坐落于岩石上或其附近时,应考虑下列因素:
——硬夹层或软弱夹层;
——断层、接头及裂隙;
——充填有软弱材料之裂隙;
f.作用力及其组合及荷载情况;
g.设计所在处,其周围自然环境,包括:
——导致地面几何形状产生变化,冲刷、侵蚀及开挖等之影响;
——化学侵蚀之影响;
——风化之影响;
——地下水位变化,包括祛水、可能之洪水及排水系统破坏等之影响;
——从地基土体中冒出气体;
——时间及环境对材料之强度及其他特性之影响,例如由动物活动所形成之洞穴;
h.地震;
i.由地下开挖或其他原因所引起之地面沉陷;
j.结构承受变形之允许值;
k.新建结构对已存在之结构或设施之影响。
第九条(耐久性)
在地工设计中,应在设计阶段评估内外环境条件,以便评估其对耐久性之影响程度、以及制订保护方法或选用有足够抵抗力之材料。
RA在地基所使用材料之耐久性设计时,应考虑下列情况;
a.对于混凝土:
——侵蚀性介质,如地下水中之酸性条件或硫酸盐等;
b.对于钢材:
——当基础单元埋置于地基中,而地基具有渗透性,使地下水及氧气能渗入而产生之化学侵蚀;
——暴露于自由水体板柱表面之腐蚀,尤其在平均水位区域内;
——埋置于有裂隙或多孔混凝土中之钢材之腐蚀性侵蚀,尤其是轧制钢材,其铁屑作为阴极,铁屑自由表面作为阳极,产生电解作用;
c.对于木材:
——在氧气存在情况下,菌类及好氧细菌之作用;
d.对于人造织物:
——紫外线下之老化作用;
——温度及应力之组合作用;
——化学退化之副作用。
第二节通过计算进行地工设计
第十条(通则)
一、通过计算来进行设计,应符合《结构安全及荷载规章》内,使用分项安全系数法校核相关之界限状态,该方法包括:
a.计算模式;
b.作用力;该作用力可强加荷载或强迫位移;
c.土体、岩石及其他材料之特性;
d.几何资料;
e.变形、裂缝宽度、振动等之限制数值。
RA在地工工程中,对地基条件之认识取决于地工勘测之程度及质量,这些认识及对施工工艺之控制在满足所有基本要求方面,比准确计算方法及分项安全系数更为重要。
二、计算模式应叙述所考虑之界限状态下之地基行为。
RA牵涉地基机理形成之界限状态很容易由此方法检查,对由变形定义之界限状态,当使用这方法时,变形应由计算得出,或者用其他方法作出评估。
三、计算模式组成如下:
a.分析方法,经常是基于简化之分析模式;
b.若有必要,应对分析结果进行更正,以保证设计计算模式之结果准确或安全。
RA对分析结果之更正应考虑下列因素:
a.设计计算模式所依据之分析方法,其结果之不确定程度;
b.任何与分析方法有关之系统误差。
四、当对于某一特殊界限状态得不到可靠计算模式时,应进行其他界限状态分析,利用系数确保该界限状态不可能发生。
五、计算模式应尽量与以前设计之现场观测,模型试验或其他更加可靠之分析方法进行比较。
RA计算模式可能由试验结果及设计要求间之经验关系所组成,以用来取代分析模型。在这种情况下,相应地基条件下之经验关系应清楚地建立。
第十一条(地工设计中之作用力)
一、任何计算中作用力数值为已知量,在计算模式中,作用力并非未知量。
二、在任何计算进行以前,设计者应在计算过程中,选择一些力及强迫位移作为作用力。这些力及强迫位移在某些计算中处理为作用力,而在其他之计算中则不尽然。如下拉力(负摩擦力)及土压力为这种力之例子。
RA对于由结构作用于基础上之荷载,为了确定基础设计中所采用之作用力,应分析结构及基础间之相互作用。
三、在地工分析中,下列因素可考虑为作用力:
a.土体、岩石及水体之重量;
b.地基中原位应力;
c.自由水压力;
d.地下水压力;
e.渗流力;
f.结构物之恒载,外力荷载及环境荷载;
g.超载;
h.系留荷载;
i.卸载或地基开挖;
j.交通荷载;
k.由植物、气候或温度变化而引起之膨胀及收缩;
1.由潜变或滑动土体而引起之移动;
m.由剥蚀、风化、自身密实及溶解而引起之移动;
n.由地震、爆炸、振动及动力荷载所引起之移动及加速度;
o.温度影响;
p.地锚或支撑所产生之预应力。
四、应考虑作用力之持续时间,同时注意对土体材料特性产生时间效应之影响,尤其是细颗粒土体之排水特性及压缩性。
五、应指明重复作用及强度变化之作用力,以便特殊考虑涉及连续移动、土体液化、地基刚度变化等问题。
六、应指明高频率周期性之作用力,以便特殊考虑所涉及之动力影响。
七、应特殊考虑以静水压力作为主要支配力之地工结构,评估其安全度,这是因为如变形、裂隙及渗透性改变等内在侵蚀危险,而可能导致地下水位变化,该水位变化对安全之影响极为重要。
八、应考虑下列事项对水压力之影响:
a.自由水水位或地下水水位;
b.鉴于自然排水或人工排水之将来维修问题,自然排水或人工排水之有利或不利影响;
c.由下雨、洪水、水管破裂或其他方式造成水量增加;
d.由于植物生长或植物消失所引致水压之变化。
九、对于有严重后果之界限状态(通常为极限状态),水压力及渗透力之设计数值应能代表在极端情况下发生之最不利数值。对于没有那么严重后果之界限状态(通常为使用界限状态),设计数值应为正常情况下出现之最不利数值。
RA注意可能会导致不利水位险情之发生,应考虑如汇水面积之变化,由于堵塞引致减弱排水能力之可能性。
除非证明有足够之排水系统以及保证其维修,否则需要假定地下水位会上升至地面标高之极端情况。在一些情况下,这可作为偶然荷载来处理。
十、设计应分别用相应之A,B,C情况进行校核。
RA引入A,B,C情况以便保证结构及地基之稳定性,并有足够强度。
十一、表一中所示之恒载力及可变荷载之分项安全系数值,通常用于校核常规型式结构物及基础,在基本荷载组合情况作用下之极限状态。在不寻常之高度风险或非常困难之地基条件或受荷条件下,应考虑更严格之数值,在偶然荷载组合作用下,所有荷载之分项安全系数值应为1。

RA对于地基特性,A,B,C情况采用不同之分项安全系数,参见表一及第十二条内容。
很清楚,三种情况中有一种情况对设计是最危险,没有必要对其他情况进行计算。但是,不同情况可能对不同设计部分产生危险。
情况A仅与浮力问题有关,在这些问题中,静止水压力将会为主要之不利荷载,表一中所示之数值仅在此情况有效。对于浮力问题,最合适为采用相对较低之安全系数及较为安全之设计假定,最常用是利用结构解决方法(例如溢水处理),而不是采用较不安全之设计假定及较大之设计安全度。
情况B通常对基础及挡土结构中之结构单元之强度设计产生危险,情况B与那些不涉及结构材料强度之情况不相关。
情况C通常在如土坡稳定等问题系危险,该等问题不涉及结构单元之强度,情况C通常对基础或挡土结构中结构单元之尺寸系危险,有时亦与结构构件之强度有关。若在校核中不涉及地基强度,情况C就不相干。
结构材料及地基土之设计强度在同一情况中不必都得到充分发挥。
在设计结构单元如基脚、桩、挡土墙等时,应引入相应之分项安全系数γsd。
十二、永久荷载应包括结构自重,非结构单元自重,以及那些由地基土体、地下水及自由水引起之作用力。
RA在计算情况B之设计压力时,表一所示之分项安全系数适用于特征土压力。特征土压力包括特征水压力以及相关特征地基特性及特征地面荷载所产生之应力所组成。
情况B中,若合力影响为不利情况,在挡土墙两边之所有永久特征土压力值应乘以1.35,如总合力影响为有利,乘以1.00。这样,所有特征土压力就处理成从单一来源所定义。
在一些情形下,对特征土压力采用分项安全系数法之设计数值,可能会导致不合理,甚至实际上不可能之情况。在这些情况下,表一所示之荷载分项安全系数可能会处理成模式系数,然后这些系数直接加至从特征土压力推导出之影响力中(即指结构内力及弯矩)。
在计算情况C之设计土压力时,表一所示之分项安全系数适用于特征土体强度及特征地面荷载。
十三、对于使用界限状态之审查,除特殊指定者外,所有恒载及可变荷载,应使用分项安全系数1。
十四、地基土及地下水所引起之作用力设计值也可采用分项安全系数法以外之其他方法得到。表一所示之分项安全系数指出,在大多数情况下常规设计被认为具有适当安全度。当不采用分项安全系数法时,这些应作为获得所需安全度之指引。
RA若审核极限状态之设计数值为直接评估,这些设计值应如此选择,以便做到更不利之数值是极端不可能引致极限状态出现。
设计值之直接评估尤其适合于那些荷载或荷载组合,该等荷载数值显然在表一中是不可能得到。
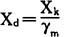
第十二条(基土特性)
一、基土特性设计值Xd或可由下列公式,从基土特征值Xk获得:

式中γm为地基土体特性安全系数,或者由直接评估获得。
二、土及岩石特性特征值之选择应根据室内及工地试验结果进行。应考虑试验量测到之特性及下列因素控制地工结构性能之土及岩石特性之间之可能差别。如:
a.裂隙之存在,可能于试验及地工结构间起不同作用;
b.时间效应;
c.所试验土体或岩石之脆性或延展性。
RA应采用转换系数将须由室内及工地试验结果转换成被认为代表地基土体及岩石性能之数值。
三、土体及岩石性能特征值之选择应考虑下列因素:
a.地质及其他背景资料,如得自以前工程之数据;
b.性能数值之变化性;
c.考虑界限状态所控制及地工结构性能所影响之地基范围;
d.施工工艺对人工填筑或改良土体之影响;
e.施工活动对现场地基性能之影响。
四、在选择土体或岩石参数特征值时,应谨慎估计影响界限状态出现之数值。
RA在界限状态下控制地工结构性能之地基范围,通常比土体或岩石试验之范围大很多,因此,控制参数通常为某一地基范围或体积之平均数值。特征值为该平均值之谨慎估计。
控制地基范围可能也取决于所支承结构之性能。例如:当考虑支承于几个扩大基脚之建筑物之承载能力极限状态时,如建筑物不能够抵抗局部破坏,其控制参数为基脚下各个独立地基范围基土之平均强度。反之如建筑物有足够之强度及刚度,则控制参数可能为建筑物下整个地基范围或部分地基范围之平均值。
可采用统计方法来选择地基参数特征值,此方法容许使用已验证有关基土特性之类似经验。
如采用统计方法,特征值之获得应为更差之数值而控制界限状态之发生计算概率不大于5%。
五、特征值可能系小于最或然值之低数值,或者是大于最或然值之高数值,每次计算都应使用独立参数之低值及高值之最不利组合。
六、特征值之选择应考虑几何数据及计算模式之不确定性,但允许直接采用或用于计算模式中之情况不在此限。
七、基本荷载组合作用下极限状态之校核,表一所列A,B,C情况所给之地基特性分项安全系数数值,通常适用于常规设计情况下相同情况荷载之分项安全系数。
在偶然荷载组合情况下,所有地基特性之分项安全系数数值应为1。
八、对于那些土体强度起不利作用之极限状态,所采用之γm值应小于1。
RA可采用由小于高特征值除以小于1之γm系数而成之设计值来考虑界限状态时土体强度之发挥程度。
九、根据土体强度参数、打桩公式或荷载试验所确定之桩承载力之分项安全系数在第六章中叙述。
十、对于使用界限状态,所有γm系数值均应为1。
十一、地基特性之设计值也可用分项安全系数法以外之方法获得,表一所设定之分项系数值指出,认为对常规设计有适当之安全程度,当不采用分项系数法时,可作为获得所需之安全程度指引。
RA当直接评估极限状态设计值时,设计值之选择应保证更不利数值为极不可能影响极限状态之出现。
第十三条(结构材料之设计强度)
结构材料之设计强度性能及结构单元之设计抗力应按照与材料有关之规范或标准计算。
第十四条(几何数据)
一、几何数据包括地面标高、坡度、水位、土层界面标高、开挖标高,以及基础形状等。
二、若几何数据之变化不重要,可在材料性能或作用力设计值之选择中考虑,在其他情况下通常建议直接考虑这些不确定因素。
三、对于有严重后果之界限状态,几何数据之设计值应代表可能会在实践中遇到之最不利数值。
第十五条(移动之限制值)
一、对个别移动之限制值,是指在该数值处可能会发生极限状态或使用界限状态。
二、在基础设计时,应建立基础移动之限制数值。
RA可能需要考虑之基础移动包括沉降、相对(差异)沉降、转动、倾斜、相对挠曲、相对转动、水平位移及振动。
三、限制移动之设计值应取得所支承结构设计者同意。
四、选择限制移动设计值应考虑下列因素:
a.定明允许移动值之可靠程度;
b.结构类型;
c.施工材料类型;
d.基础类型;
e.地基类型;
f.变形模式;
g.拟建结构之用途。
五、应评估基础之差异沉降及相对转动,以保证这些位移不致引起极限状态或使用界限状态之发生,如所支承结构产生过大裂缝或产生门开合困难。
RA开式框架、闭式框架、承重砖墙或连续砖墙之最大允许相对转动不可能一致,但可能约在1/2000至1/300范围,以防止在结构中出现使用界限状态。对许多结构物来说,1/500之最大相对转动为可接受。可能引致极限状态之相对转动大约为1/150。
对于有独立基础之常规结构,总沉降高达50mm,相邻柱间差异沉降高达20mm通常可以接受,只要相对转动在允许范围以内,且不引起进入结构内之使用问题或引起倾斜,或可接受更大总沉降及差异沉降。
上述关于限制沉降之指引适用于常规结构,这些指引不适用于那些超常规之建筑物或结构物,或那些荷载强度很不均匀之建筑物或结构物。
六、差异沉降之计算应考虑下列因素:
a.地基特性随机或系统之变化;
b.荷载分布;
c.施工方法;
d.结构刚度。
RA对于大多数地基情况,包括冲积土、粉土、黄土、回填土及残积土,应考虑由于场址范围地基特性变化而引起差异沉降因素之可能性。
第三节其他方法进行地工设计
第十六条(习惯方法设计)
一、在那些得不到计算模式或没有必要之情况下,可采用习惯方法避免界限状态。这包括约定及较保守之设计细节,以及对材料、制作工艺、防护及维护程序之控制及对说明书之要求加以注意。
RA习惯方法设计可用于那些如第四条所定义之类似经验,即没必要使用设计计算之情况。该法也可用于那些直接计算通常不适合之情况,如对抗霜冻作用及化学侵蚀或生物侵蚀之耐久性之保证。
二、习惯方法设计通常应局限于地工分类一。
第十七条(以荷载试验及实验模型试验进行设计)
只要考虑下列特点,荷载试验或实验模型试验之结果可用来验证设计:
a.试验及实际施工之间地基条件之差别;
b.时间效应,特别是试验历程比实际施工加载历程更短之情况下;
c.模型比例之影响,尤其是采用小型模型时,应考虑应力水平及颗粒大小之影响。
RA可在实际施工之试样、足尺模型,或小比例模型中进行试验。
第十八条(以观测方法进行设计)
一、由于地工性能之预估经常是比较困难,所以有时可适当采用观测方法,在观测方法中,在施工期间设计可得到检讨。当采用本方法时,在施工以前,应满足下列全部四个要求:
a.应建立性能之允许范围;
b.应评估可能之性能范围,并表明实际性能在允许范围内是个可接受之概率;
c.应设计一个揭示是否实际性能在允许范围以内之观察计划,观察应能在最初阶段清楚知道其结果,并可以最短时间间隔,允许成功进行意外处理。仪器之反应时间以及分析结果之程序应能迅速反映系统之可能进展;
d.应设计一套当监测显示其性能超过允许范围时可能会采用之意外处理计划。
二、施工期间,观察应按计划进行,若有必要,应进行额外观察或替换观察。观察结果应在适当阶段进行评估,且于有必要时,意外处理计划应进行运作。
第四节地工设计报告
第十九条(假定、数据及计算)
一、在安全度及使用性验算中之一些假定、数据、计算及其结果应在地工设计报告中记录。
RA地工设计报告之详细程度有很大不同,取决于设计之类型。对于简单设计,通常指地工分类一,可能一张纸就足够。报告应参考地基勘测报告第四十一条至第四十三条及其他内容更详细之文件,通常应包括下列内容:
a.场址及其周围情况之叙述;
b.地基条件之叙述;
c.推荐施工方法之叙述,包括作用荷载;
d.土体及岩石之设计值,包括适当之判断;
e.叙述所使用之规范及标准;
f.允许风险程度之叙述;
g.地工设计计算及图纸;
h.施工期间需要检查、需要维护或观察之内容提示。
二、地工设计报告为具有足够地工技术知识之土木工程师之职责。
第二十条(监督、观察及维修)
一、地工设计报告应适当包括监督及观察计划,在施工期间需要检查或施工以后需要维修之项目应在报告中清楚指出。当在施工期间已进行所需要之检查时,检查结果应记录于报告附件中。
RA涉及监督及观察时,地工设计报告应说明下列情况:
a.每一组观测或量测之目的;
b.所需要监测之结构部分以及进行观测之项目;
c.测读频率;
d.评估结果之方法;
e.进行结果比较之数值范围;
f.施工结束后继续监测之时间周期;
g.进行量测及观测、解释获得之结果,以及观察及维修设备之负责单位。
二、前述段落合适之情况下,应提供予业主/客户包括已完成结构之监督,观察及维修要求内容之手册。
第三章地工数据
第一节一般规定
第二十一条(总则)
地工资料应经常进行仔细收集、记录及解释。这些资料包括场址之地质、地形、地震、水文及场址之历史等资料,并要对地基土体之变化情形进行评述。
第二十二条(规划及执行)
一、地工勘察之规划应考虑拟建结构物之施工及使用要求。地工勘测范围应随着勘测工作之进展而获得新之资料,进行不断检讨。
二、常规野外勘测及室内试验之进行,及其报告应符合国际间认可之标准及推荐方法。应报告与这些标准有所偏差及有额外试验要求之处。
三、应记录取样、运输及储存程序,在解释试验结果时,应考虑这方面之影响。
四、必须由有足够地工技术知识之土木工程师负责规划地工勘测,跟进工地及实验室工作,并对所获得之地工资料作出评估。
第二节地工勘测
第二十三条(总则)
地工勘测应提供施工现场及其周围地基土及地下水情况之所有资料,以便对主要地基特性进行适当叙述,以及对在设计计算中所采用之地基土参数特征值进行可靠评估。
RA当勘测特点内容与结构物之地工分类相关时,在勘测过程中应尽早确定影响地工分类之地基条件。
下列情况适用于地工分类一:
a.最起码要求是所有设计假定应在监督期间最后确定;
b.勘测工作应包括施工现场目测以及测坑、贯入试验或螺杆钻探。
地工分类二及三之勘测通常应包括下列可能重叠之三方面内容:
a.初步勘测(见第二十四条);
b.设计勘测(见第二十五条);
c.控制勘测(见第四十八条及第四十九条)。
第二十四条(初步勘测)
初步勘测应包括下列内容:
a.评估场址之总体适合程度;
b.作出相关不同场址之比较;
c.估计拟建工程可能会引起之变化;
d.规划设计及控制勘测,包括鉴别可能对结构物性能有显著影响之地基范围;
e.如存在时,确定借土区域。
RA下列内容应考虑包括在初步勘测内:
a.工地踏勘;
b.地形测量;
c.水文学,尤其是孔隙水压力分布;
d.邻近结构及开挖工程之检查;
e.地质,地工图以及记录;
f.附近先前之地工勘测及施工经验;
g.航测地图;
h.原有地图;
i,地震资料;
j.任何其他相关资料。
第二十五条(设计勘测)
一、设计勘测应包括下列内容:
a.提供永久工程及临时工程之适当及经济之设计所需要之资料;
b.提供规划施工方法所需要之资料;
c.能够鉴别施工期间可能出现之任何困难。
二、设计勘测应用可靠方法鉴别及拟建结构相关,或受施工影响之地基之所有性质及特性。
三、在开始最终设计以前,应建立影响结构能力以满足其性能标准之参数。
RA下列内容应考虑包括在相关地基之设计勘测内:
a.地质分层;
b.各相关地基土之强度特性;
c.各相关地基土之变形特性;
d.通过地基剖面之孔隙水压力分布;
e.渗透情况;
f.地基土可能之不稳定性;
g.地基土之压实性能;
h.地基土及地下水可能之侵蚀性;
i.地基土改良之可能性。
四、为了保证设计勘测包括所有相关之地层,尤其应注意下列地质特点:
a.洞穴;
b.岩石、土体或回填材料之退化;
c.水文地质之影响;
d.断层、接头及其他不连续点;
e.潜变土体及岩体;
f.膨胀性土及岩石,以及坍陷性土及岩石;
g.废弃材料或人造材料之存在。
五、常规勘测方法之适当组合可用来鉴别地基土体之工程地质特征,这些勘测方法包括根据普遍接受,或标准化之程序所进行,通常为可获得之商业试验。
RA常规试验通常应包括原位试验,钻孔及室内试验,当采用物探或/及其他间接方法时,通常需进行钻孔,以便判别使用这些方法而获得之土层资料。若对场址处之工程地质情况很熟悉,可省略这种钻孔。
六、勘测工作至少应穿过估计与工程相关之地层,在该地层以下之土层,对结构物之特性不会有实质影响。
七、勘探点间之距离及勘探深度应根据区域之地质情况、地基条件、场址大小及结构类型选择。
RA下列情况适用于地工分类二之勘测:
所有工程,最小应有一个勘探点,包括物探或钻孔。
如结构物覆盖面积大,勘探点可网格点布置,勘探点间之相互间距通常应为20~40m。在均匀土体条件下,钻探点或基坑可部分由贯入试验或地质物探代替。
对于垫板基础及条件基础,在所考虑之基础底板标高以下之物探或钻探深度通常应在基础单元宽度之一至三倍之间,一些钻探孔通常应勘测至更深处,以便估计沉降情况及可能出现之地下水问题。
对于筏式基础,通常现场试验或钻孔深度应等于或大于基础宽度,除非在该深度范围内遇到基岩。
对于回填区域或路堤,起码勘测深度应包括所有那些对沉降有重要影响之压缩性土层。勘测深度可仅限于某一标高,使该标高以下土层所产生之沉降小于总沉降之10%。勘探点间之距离通常应在50m~200m之间。
对于桩基础,钻探、贯入或现场试验通常应勘探基土情况至能够保证安全之深度。通常指桩尖下五倍桩身直径处。但是,也存在需要更深物探或钻探深度之情况。钻探深度大于矩形桩群短边宽度,由群桩所形成之基础桩尖标高以下算起,也可能为必要。
八、应建立勘测期间所作用之地下水压力,也应建立可能影响地下水压力之任何自由水体之极限标高,也应记录勘测期间自由水位情况。
RA下列内容适用于地工分类二之勘测。
孔隙水压力分布之勘测通常包括:
a.钻孔内及竖管中水位之观察;水位随时间之波动;
b.场址处水文地质方面之估算,包括如承压水位或静止水位,或潮差变化等特性。
为了评估开挖基槽之隆起情形,应调查孔隙水压力至基槽开挖底面以下,至小一倍低于地下水位开挖深度处。在上层土体容重较小之情况下,可能需要调查至更深处。
九、应建立任何现场附近祛水或吸水井之位置及吸水能力。
十、对于那些大型或不寻常建筑物,以及含有不寻常风险之构筑物,或相当困难复杂之地基条件或加荷条件之情况下,勘测程度应起码满足上述所指定之要求。
RA下列情况适用于地工分类三:
经常需要或在需要时应进行额外及更多特定勘测。
当采用特定或不常用之试验程序时,试验程序及试验解释应存档。此外,还应附上该等试验之参考资料。
第三节地工参数之评估
第二十六条(总则)
一、在设计计算中所用之地工参数可将土体、岩石及岩体之特性定量化,这些地工参数应从工地,室内试验及其他相关数据中推导得出。这些步骤应像考虑界限状态那样,进行适当解释。
RA所有试验都应按照已发表之澳门标准进行。若某一试验不存在相应之澳门标准时,建议采用ASTM标准。
在下列关于评估地工参数之要求中,仅涉及最常使用之室内及野外试验。只要类似经验已证明其适用性,可使用其他试验。
二、为了建立可靠地工参数值,应考虑下列内容:
a.许多土体参数并非真正是常数,而是取决于诸如应力水平,变形模式等因素;
b.在解释试验结果时,应考虑一些已公布之资料,在适当地基条件下作出适当试验;
c.试验程序应包括足够数量之试验,以便提供设计所相应之各种参数之推导及变化数据;
d.各参数值应与相应已发表之数据,以及当地经验及一般经验比较。如存在时,也应考虑参数间已建立之相关关系;
e.当可获得时,应该分析大比例现场试验及施工全比例量测之结果;
f.当可获得时,应该检查多于一种试验类型之试验结果之相关关系。
第二十七条(基土之描述)
一、在解释其他试验结果以前,应鉴别土及岩石之特性及其基本成分。
二、材料应进行目测并应根据已认可之术语描述,且应进行工程地质评估。
RA除了上述目测以外,下列特点可用于其鉴别目的:
a.对于土体:
——颗粒大小分布情况;
——颗粒形状;
——颗粒表面粗糙程度;
——相对密度;
——容重;
——自然含水量;
——Atterberg限值;
——碳酸化物含量;
——有机质含量。
b.对于岩石:
——矿物成分;
——岩石成因;
——含水量;
——容重;
——孔隙率;
——声波速度;
——快速吸水率;
——膨胀;
——水解耐久指数;
——单轴抗压强度。
由单轴抗压试验所获得之强度可对岩石进行分类。但也可采用如点荷试验等更简单之试验程序。
第二十八条(容重)
一、容重之确定应有足够准确度,以便建立从该值导得之作用力之设计数值。
二、当采用试验确定容重时,应考虑自然或人为所产生之变化,或分层之影响。
RA只要知道土之类型及级配,砂土及砾石土之现场容重可以从如贯入试验,或者能够指示土体强度之观测方法等试验结果,获得足够准确之评估。
第二十九条(相对密度)
相对密度应表达为根据标准室内试验程序所定义且相对于非粘性土最松散及最紧密状态之密实程度。
RA土体相对密度之直接量测,可通过准确量测之现场密度,及根据标准参考试验而获得之室内试验容重值,通过比较获得。土体相对密度之间接量测方法可从贯入试验获得。
第三十条(夯实度)
夯实度应表示为土体干容重及从标准夯实试验而获得之最大干容重之比值。
RA最常用之夯实试验系与不同标准之夯实能量相应,标准夯实试验及修正夯实试验,夯实试验也给出最佳含水量,即在某一夯实能量,土体最大于容重时之含水量。
第三十一条(粘性土之不排水剪切强度)
在评估饱和细颗粒土体不排水剪切强度Cu时,下列特点很重要,应予考虑:
a.土体在原位时及试验时之应力差别;
b.土样之扰动情况,尤其是从钻孔中所获得之室内试验土样;
c.强度之各向异性,尤其在低塑性粘土中;
d.裂隙,尤其在硬粘土中,试验结果可能仅代表裂隙或完整土体之强度,上述两者均可能控制其工地性能,试样大小可能是很重要;
e.速率影响,进行太快试验会导致较高强度;
f.大应变影响,大多数粘土在受到很大应变时,在预先形成之滑动面上失去其强度;
g.时间影响,土体被有效地排水所需之时间,取决于其渗透性、自由水体之获得及土样之几何形状;
h.土样之不均一性,如粘土试样中含有砾石或砂土;
i.饱和度;
j.用来从试验结果,尤其是现场试验中推导不排水剪切强度之理论之可信度。
第三十二条(土体之有效剪切强度参数)
一、在评估有效剪切强度c′及φ′时,应考虑下列特点:
a.问题所涉及之应力水平;
b.现场确定容重之准确程度;
c.取样时之扰动情况。
二、c′及φ′值仅能在所估计之应力范围内可假定为常数。
三、当从带有孔隙水压力量测之不排水试验获得有效应力参数c′及φ′时,应注意土样是否完全饱和。
RA平面试验中测得之φ′值通常比三轴条件下测得之φ′值稍高。
第三十三条(土体之硬度)
在评估土体之硬度时,应考虑下列特点:
a.排水条件;
b.平均有效应力水平;
c.强迫剪应变或诱导剪应力水平,后者通常归化为破坏时之剪切强度;
d.应力应变历史。
RA这些因素对控制土体硬度很重要,其他影响土体变形模量之因素包括:
a.相对于主固结应力方向之土体受力方向;
b.时间及应变速率之影响;
c.考虑到土颗粒尺寸及土体总体纤维特点之试样大小。
从工地及室内试验获得对地基硬度之可靠量测通常很困难,尤其是由于试样之扰动及其他影响,从室内试样量测到之数值经常低估了现场土体之硬度。因此,建议对以前施工特性之观测进行分析。
有时假定应力及应变在限定之应力变化范围内为线性或对数线性关系为方便,但是,由于土体之实际性能通常为明显之非线性关系,因此,在采用线性关系时应谨慎处理。
第三十四条(岩石及岩体之质量及特性)
一、在评估岩石及岩体之质量与特性时,应区别由岩芯试样测得之岩石材料之性能,与包括构造不连续点,如层理层面、接头、剪切区及溶解之孔穴等更大之岩体之性能。应考虑接头之下列特性:
a.间距;
b.朝向;
c.裂隙;
d.连续性;
e.粗糙度,包括以前接头运动之影响;
f.充填料。
二、此外,在评估岩石及岩体性能时,如存在时,应考虑下列内容:
a.原位应力状况;
b.水压力;
c.不同地层之间性能之显著变化。
RA岩石质量可用能够确定岩体工程性质之岩石质量指标(RQD)定量化。
岩石整体特性如强度、硬度等之估计,可通过采用原先与隧道工程相关之领域内发展起来之岩体分级概念获得。
三、应评估岩石对气候、应力等变化之敏感性,也应该考虑化学退化结果对岩石基础性能之影响。
RA在评估岩石及岩体质量时,应考虑下列特点:
a.多孔之软质岩很快会退化为低强度土体,尤其是当暴露于风化作用中时;
b.岩石受地下水作用,展示了高溶解速率,导致地下河流、溶洞,以及发展至地面之落水洞;
c.当卸载并暴露于空气中时,一些岩石由于受其粘粒矿物之吸水,会经历显著膨胀。
四、在评估岩石材料之单轴抗压强度及变形能力时,应考虑下列特点:
a.加载轴向相对于试样各向异性如层理层面、页理等之方向;
b.取样方法,储存历史及环境;
c.试样数目;
d.试样几何尺寸;
e.试样时之含水量及饱和度;
f.试验历程及应力速率;
g.杨氏弹性模量之确定方法及确定杨氏模量之轴向应力水平。
RA单轴抗压强度及单轴抗压变形主要用于完整岩石之分类及其特性描述。
五、在评估岩石材料接头之剪切强度时,应考虑下列特点之影响:
a.试件相对于岩体及假设作用力之方向;
b.剪切试验之方向;
c.试件数量;
d.剪切面之尺寸;
e.孔隙水压力情况;
f.控制地基岩石性能之渐进破坏之可能性。
RA剪切面通常与岩石之薄弱面(接头、层理、片理、劈理面)重合,或者与岩石及土体界面或混凝土及岩体界面重合。接头面所测得之剪切强度通常用于岩体之极限平衡分析。
第三十五条(渗透及固结参数)
在评估渗透及固结参数时,应考虑下列特点:
a.地基不均一性条件之影响;
b.地基各向异性之影响;
c.地基中裂隙或断层之影响,尤其在岩石中;
d.在拟设之加载作用下,应力变化之影响。
RA在较小之实验室试样中量测到之渗透性可能不能代表现场情况。因此,应尽可能使用工地试验量测大体积地基之平均性能,但必须考虑到有效应力超过原位应力时,地基渗透性之可能变化。有时渗透性能可根据对颗粒大小及其分布之认识来估算。
第三十六条(锥贯入参数)
RA在评估锥贯入试验之锥端阻力、侧摩阻力以及可能包括孔隙水压力时,应考虑下列特点:
a.锥头及锥杆之具体设计形式可能会最着影响其结果,因此必须建立所使用型式锥头之允许范围;
b.只有当土层之分布次序建立以后,对试验结果之解释才有信心。因此在许多情况下需要钻孔佐证锥贯入试验结果;
c.当解释试验结果时,应考虑地下水情况及土体之上覆荷载之影响;
d.若在不均匀土体中记录得很大变动之试验结果,必须考虑手头设计相应于代表该部分土体之贯入数值;
e.当可获得时,应考虑锥贯入试验及其他试验之相关关系,如密度量测及其他形式之贯入试验。
第三十七条(标准贯入试验及动力杆测试验之锤击数)
RA在评估锤击数时,应考虑下列特点:
a.试验类型;
b.试验过程之详细描述(举锤方法、端头或锥头、落锤重量、落距、套管及钻杆直径等);
c.地下水情况;
d.上覆压力之影响;
e.基土性质,尤其当遇到大砾石时。
第三十八条(压力仪参数)
RA在评估极限压力及压力仪模量时,应考虑下列特点:
a.试验设备类型;
b.在基土中安装压力仪所用之程序。
那些已显示超过适度扰动之曲线不应被采用。
当在试验中没有达到极限压力时,可采用曲线适度或保守之外延方法确定。对于那些仅确定了压力仪曲线初始部分之试验,可采用同一现场之总体相关条件、保守地从压力仪模量来估计其极限压力。
第三十九条(热膨胀仪参数)
RA在评估扁式热膨胀仪数值时,应考虑安装程序之影响。
若要评估强度参数,应考虑贯入阻力之影响。
热膨胀仪参数通常用作确定土体约束模量之基础。
第四十条(夯实性能)
在评估填土材料之夯实性能时,应考虑下列特点:
a.土体或岩石类型;
b.颗粒大小分布;
c.颗粒形状;
d.材料之不均匀性;
e.饱和度及含水量。
RA为了获得土或岩石填料夯实性能之直接量测,应进行所用材料类型、填层厚度及碾压设备类型之尝试夯实试验、其所获得之密度与室内标准夯实程序有关,也与拟建场址控制装置及程序之现场数值有关,(例如:物探、强夯试验、承载板试验、沉降记录等)。
第四节地工勘测报告
第四十一条(总则)
地工勘测结果应整理成地工勘测报告,该地工勘测报告应成为在第十九条及第二十条中所述之地工设计报告之基础。
RA地工勘测报告通常应由下列二部分所组成:
a.提供可获得之地工资料包括地质特性及相应数据;
b.对该资料之地工方面之评价,以及说明推导地工参数之假设。
这些内容可组合在一个报告中或分成几个报告。
第四十二条(地工资料之提供)
地工资料之提供应包括所有工地及室内工作之描述,以及进行土地勘测及室内试验所采用之方法之文件。
RA此外,如相关时,报告之事实描述应包括下列内容:
a.地工勘测之目的及范围;
b.简要叙述地工报告所汇集资料之工程,给出工程位置,规模及几何形状,所预期之荷载、结构单元、结构所用材料等;
c.陈述预期之结构地工分类;
d.工地及室内试验所进行之日期;
e.取样、运输及储存之程序;
f.所使用之工地设备之类型;
g.测量数据;
h.所有顾问工程师及分承包商之名字;
i.工程整个区域之工地踏勘,尤应注意下列问题:
——地下水迹象;
——邻近结构物特性;
——断层;
——采石场及借土区域之暴露面积;
——不稳定区域;
——开挖所遇到之困难。
j.场址历史;
k.场址工程地质;
1.从可获得之航测照片中得到之资料;
m.该区域之当地经验;
n.该区域之地震资料;
o.表列工地及室内工作数量,并提供在地层勘测期间由监理工地作业人员所记录之现场观察;
p.在工地作业期间在钻孔中所测得之地下水位随时间变动之数据,或工地作业完成后孔隙水压计中测得之地下水随时间变动之数据;
q.钻孔柱状图之汇集,包括芯样照片,以及根据现场描述及室内试验结果整理之地下土层描述;
r.在附件中分组及提供工地以及室内试验结果。
第四十三条(地工资料之评估)
地工资料之评估应适当包括下列内容:
a.工地及室内试验之检讨,若存在有限或局部资料,应予说明,若数据有缺陷、不相关、不足够或不准确,也应相应指出并对其进行评估,在解释试验结果时,应考虑取样、运输及储存程序。任何尤其是相反之试验结果应予以仔细考虑,以便确定这些结果是否由错误所造成,或是代表了在设计中应予考虑之真实情况;
b.如确实需要时,应提交进一步之工地及室内试验建议,并应附述需要这些额外工作之评论。这种建议应带有其所提议,要进行之额外勘测类型之详细计划,并必须回答问题之明确参考资料。
RA除上述以外,地工数据之评估如相关时还应包括下列内容:
a.提供及工程要求相关之工地及室内试验结果之图表,若确实需要,用统计图表说明最相关数据之数值范围及其分布;
b.地下水位深度及季节性变化之关系;
c.显示各土层变化差异之地下土层剖面,所有土层之详细叙述,包括其物理特性、压缩性能及强度性能,以及对如矿穴、溶洞等突异性之评估;
d.各土层地工数据值范围之分类及提供,资料内容应易于理解,以便在设计中选择最为适当之地基参数。
第四章工程监督、观察及维修
第四十四条(目的及范围)
一、为了保证结构之安全及质量,应适当进行下列工作:
a.应监督施工过程及施工工艺;
b.施工期间及施工结束后应观察结构性能;
c.结构应得到足够维修。
二、施工过程及施工工艺之监督,以及施工过程中及施工结束后之结构性能之观察应根据地工设计报告要求进行。
RA施工过程及施工工艺之监督应包括下列适当方法:
a.检查设计假定之适当性;
b.鉴别实际地基情况及设计假定情况之差别;
c.检查施工是否按设计要求进行。
施工期间及施工结束后结构性能之观察应包括下列适当之内容:
a.施工期间之观察及量测观察结构物及其周围构筑物之行为,以便判断是否需要补救措施,或改变施工程序等;
b.观察并量测以观察及评估结构物以及其周围构筑物长期之性能。
三、监督及观察之水平以及质量应起码等于那些在设计中假定之情况,并应与选用之设计参数值及安全系数一致,会影响到设计决定之监督及观察结果应明确鉴别。
RA施工监督,性能观察所需要之检查、控制及工地、室内试验应在设计阶段规划,至于不可预见之情况,观察程度及频率应增加。
附件二列出了施工监督及性能观察一览表。
第四十五条(监督计划)
在地工设计报告中包括之监督计划,应陈述监督所获得结果之接受限度。
RA监督计划应指明监督类型、质量及频率,并应与下列情况成比例:
a.在设计假定中不确定因素之程度;
b.地基土及加荷条件之复杂程度;
c.施工期间潜在之破坏危险;
d.施工期间设计修改及施行修正方法之可行性。
第四十六条(检查及控制)
一、工程施工应连续目测检查,且检查结果应作记录。
RA对于地工分类一,监督程序可能仅限于目测检查、粗略之质量控制以及结构性能之定性评估。
对于地工分类二,可能经常需要对地基特性及结构性能进行量测。
对于地工分类三,在施工之各主要阶段可能需要额外量测。
二、下列情况下其记录应适当保留:
a.显著地基及地下水特征;
b.施工顺序;
c.材料质量;
d.与设计之偏差;
e.竣工图纸;
f.量测结果及其解释;
g.环境条件方面之观测;
b.不可预见之事件。
RA临时工程之记录也应该保存,工程施工中断,以及重新施工之情况也应作记录。
三、设计者在作出某些决定以前,应该知道检查及控制结果,因为有时需要这些结果作出决定。
第四十七条(设计评估)
应根据所遇到之地基条件,检查施工程序及操作顺序之适合程度,以及预期之结构性能,应该与观测到之性能进行比较。并应根据检查及控制之结果对设计进行评估。如有必要,结构应重新设计。
RA设计评估应包括在施工期间出现之下列最不利条件,并进行仔细检讨:
a.地基条件;
b.地下水条件;
c.结构上之作用力;
d.环境影响及变化,包括滑坡及岩石塌落。
第四十八条(地基条件之检查)
一、施工期间应检查结构物所基于或处于土体或岩石之地工特性及对其之描述。
RA对于地工分类一,土体及岩石之描述之检查应包括下列内容:
a.检查场址;
b.确定在结构物影响范围内土体或岩石之类型;
c.记录开挖中所暴露之土体或岩石之描述。
对于地工分类二,结构物所基于之土体或岩石之地工特性也需检查,可能需要额外之地工勘测,也可能重新抽取及试验代表性土样,以便确定指数特性、强度及变形性能。
对于地工分类三,额外要求可能包括进一步勘测,以及对设计可能有重要影响之地基或填土条件之详细检查。
地基地工特性之间接迹象(如打桩配录)应进行记录,并应用来帮助解释地基情况。
二、与设计假定偏差之地基类型及特性应立即向负责该工程之人员报告。
三、应检查设计所用之原理对所遇到之地基地,特性是否合适。
第四十九条(地下水检查)
一、施工期间所遇到之地下水位、孔隙水压力及地下水化学性质等,应进行适当检查,并应与设计中所假定者比较。对于已知或可能存在之地基类型及渗透能力显著变化之地盘,需要进行更加彻底之检查。
RA对于地工分类一,通常是根据以前在该区域以文件登记之经验,或根据间接之证据来控制。
对于地工分类二及三,如地下水条件大大影响施工方法及结构性能,通常对地下水情况进行直接观测。
地下水流特性及孔隙水压力可用孔隙水压计测得,孔隙水压计最好应在施工作业开始前安装好。有时,作为观察系统之一部分,可能有必要在离现场较远处安装孔隙水压计。
如施工期间出现之孔隙水压变化可能影响结构性能,应观察孔隙水压力,一直到施工结束或一直到孔隙水压力消散至安全之数值为止。
对于低于地下水位可能浮起之结构,应观察其孔隙水压力,直到结构自重足以排除浮起之可能性为止。
当任何永久工程或临时工程之一部分受化学侵蚀显着影响时,应进行对循环水体之化学分析。
二、应检查施工作业(包括祛水、灌浆及开挖坑道等)
对地下水体之影响。
三、地下水特性及设计中假定会出现之偏差,应立即向负责该工程之人员报告。
四、应检查设计中所用之原理是否适合所遇到地下水之特性。
第五十条(施工检查)
一、应检查现场作业是否符合设计假定中之施工方法,以及地工设计报告中之陈述。
RA对于地工分类一,正式之施工计划通常不包括在地工设计报告中。施工作业程序一般由承包商决定。
对于地工分类二及三,地工设计报告可能给出施工作业程序,或者另一方法是在地工设计报告中说明施工程序由承包商自己决定。
二、若出现与原设计中假定之施工方法,与地工设计报告中叙述之方法产生偏差时,应明确并合理考虑处理且应立即向负责该工程之人员报告。
三、应检查设计中所用之原理是否适合所采用之施工作业程序。
第五十一条(观察)
一、观察之目的为:
a.检查在设计期间所预估性能之适当性;
b.保证结构物,在施工结束后仍能继续具有符合要求之性能。
二、应向业主或客户详细说明,观察已完成之结构所需要之检查及量测。
三、观察计划应按照地工设计报告进行。
RA结构物之实际性能之记录十分重要,以便收集类似经验之数据。
量测可能包括下列内容:
a.受结构影响之地基变形;
b.作用力数值;
c.地基及结构之间接触应力之数值;
d.孔隙水压力及其随时间之变化;
e.结构单元上之应力及变形(垂直或水平移动,转动或扭转)。
量测结果可能与包括建筑外形之定性观察汇集在一起。
施工结束后之观察周期长短,可能因施工期间所获得之观察结果而改变,对于那些结构会对四周环境有不良之影响,或者破坏后会对生命财产有不寻常风险之结构,可能需要施工结束后长达十年之观察或终生观察。
四、有必要评估及解释由观察而获得之结果,通常应作定量分析。
RA对于地工分类一,可简单、定性并根据目测来评估其性能。
对于地工分类二,可根据结构所选定之点之移动量测来评估其性能。
对于地工分类三,通常应根据位移之量测,并顾及施工作业程序之分析对其性能进行评估。
五、对于那些对地基或地下水情况可能有不利影响之结构,在计划观察系统时,应考虑地下水泄漏及地下水流形式之改变之可能性,尤其在涉及细颗粒土体时。
RA这类结构之例子有:
a.储水结构物;
b.用于控制泄漏之结构;
c.隧道;
d.大型地下结构物;
e.深层地下室;
f.土坡及挡土结构物;
g.地基改良。
第五十二条(维修)
应向业主及客户详细说明,保证结构安全及使用性能所需要之维修。
RA维修要求应提供资料于:
a.需要定期检查之结构关键部位;
b.检查频率。
第五章扩大基础
第一节一般规定
第五十三条(范围)
本章条款适用于扩大基础,包括垫板基础,条形基础及筏式基础,部分内容亦适用于深基础如沉箱等。
第五十四条(界限状态)
应符合一系列应当考虑之界限状态,下列界限状态应被考虑:
a.整体失稳;
b.承载能力破坏;
c.滑动破坏;
d.地基及结构物之联合破坏;
e.基础移动所引致之结构破坏;
f.过大之沉降;
g.过大之隆起;
h.不可接受之振动。
第五十五条(设计所考虑之荷载及设计情况)
一、对于界限状态之计算,应考虑第十一条之作用力。
RA当结构有足够之刚度时,应该分析结构与地基间之相互作用,以决定作用力之分布情况。
二、设计所考虑之情况必须根据第八条所述之原则选择。
RA当考虑选用扩大基础之设计情况时,地下水位之评估则特别重要。
第五十六条(设计及施工之考虑)
一、当选择扩大基础底面之深度时,需要考虑下列之各项因素:
a.到达有足够承载能力之持力层;
b.预定深度以上,由于季节性气候变化,或树木与灌木之影响,引致粘土产生膨胀或收缩,可能造成一定程度之移动;
c.当基础开挖深度在地下水位以下时,地下水可能对开挖造成困难;
d.由渗漏,气候影响,或施工过程,而引致地基之移动或持力层强度之降低;
e.邻近基础及结构物施工开挖之影响;
f.基础附近将来维修所需之开挖;
g.由建筑物传来之高温或低温;
h.冲刷产生之可能性。
二、为了满足其他性能之要求,基础之宽度设计必须考虑实际情况,如开挖之经济性,定位出现之容许误差,工作空间,基础所支承墙或柱之尺寸等。
三、当设计扩大基础时,必须选择下列其中一种设计方法:
a.直接方法:对每种界限状态所使用之计算模式,使用之作用力设计数值及地基参数,都要分别作出分析。当对一种极限状态作出验算时,计算必须模拟尽可能接近实际情况之破坏机理。当验算使用界限状态时,通常需要使用变形分析方法;
b.预估承载能力方法:利用类似经验作出估计,及利用现场或实验室之试验或观察结果,选取对使用界限状态有关之荷载,保证能符合所有相关界限状态之要求。
第五十七条(对岩石上之基础所附加之设计考虑)
对处于岩石上扩大基础之设计必须考虑下列事项:
a.岩体强度及变形性质,所支承结构物之容许沉降量;
b.基础下是否出现软弱层面,如溶解地层、断层等;
c.层面及其他不连续层之出现,其性质(如充填材料、连续性、宽度、间距等);
d.岩石之风化程度,分解程度及破裂程度;
e.基础附近之施工活动引致对岸石之扰动,如地下施工,斜坡施工等。
RA处于岩石上之扩大基础,一般可以使用如第五十六条第三段所述之预估承载能力方法设计。
对于坚硬完整之火成岩,片麻岩,石灰岩及砂岩,预计承载压力通常是受混凝土基础之抗压强度所限制。
基础之沉降可以利用第三十四条所述之岩体分类,使用类似经验作出评估。
第二节极限状态设计
第五十八条(整体失稳)
对于由整体失稳而导致之破坏,必须特别检查基础在下列之情况:
a.接近或处于倾斜之工地,天然之斜坡或土堤之上;
b.接近开挖区域或挡土墙;
c.接近河流,沟渠,湖泊,水库或海边:
d.接近地下工作区或地下构筑物。
对于这些情况,必须作出论证,以保证包含基础之地基土体不会发生稳定性破坏。
第五十九条(承载能力破坏)
一、为了证明基础有足够安全度以抵抗承载能力破坏来支承设计荷载,下列之不等式必须满足所有极限状态荷载情况及荷载之不同组合情况:
Fnd≤Rnd此处:
Fnd是正向于基础底面之极限状态设计荷载,包括基础之重量及所有回填物料重量,在排水条件下,计算Fnd时,一般亦考虑水压力之作用。
Rnd是基础对抗正向荷载之设计承载能力,包括考虑荷载之倾斜或偏心之影响,其计算必须根据第十二条、第二十六条到第四十条所选用之有关参数及设计数值。
RA当环绕基础之水压力是静水压力时,Fnd之计算可以简化,对位于地下水位以下之结构构件可使用浮重计算。
二、对扩大基础之设计垂直承载能力作出分析评估时,必须考虑短期及长期状态,特别是对细颗粒土壤,空隙水压之变化可能导致剪力强度之改变。
三、当基础以下之土体或岩体,出现层状结构模样或出现断续情况,破坏机理之假定、剪切强度之选择及变形参数之选定,必须考虑地基之结构性质。
四、当计算在高度层状沉积土上基础之设计承载能力时,地基参数之设计数值,必须对每一层都作出决定。
RA当一层软弱层面位于坚硬层面之上时,承载能力可以使用软弱层面之剪切参数作出计算。
五、扩大基础之设计承载能力可以用半经验法估计,利用现场试验结果并使用类似经验。
第六十条(滑动引致之破坏)
一、当荷载并非正向于基础底面,基础必须验证对抗滑动所引致之破坏。
二、对检查滑动破坏于水平方向之安全性时,必须满足下列不等式:
Fvd≤Rvd+Rpd此处:
Fvd是设计水平总荷载,包括设计主动土压力。
Rvd是基础底面与地基间之设计剪切强度。
Rpd是基础侧面之设计抵抗土压力,可由适合于界限状态考虑之变形而产生,并符合结构本身之使用年期。
RARvd及Ppd二者之设计数值必须参照在界限状态荷载下之预期移动。对于大移动,必须考虑以往峰值行为之可能相关性。
三、此不等式同样适用于当基础处于倾斜面上之情况。
四、当基础处于粘土土壤承重时,而土层受季节变化影响而变形时,必须考虑粘土在基础垂直面产生收缩之可能性。
五、必须考虑基础前之土壤可能由人为因素或侵蚀作用而失去之可能性。
六、对于排水情况,设计剪切强度必须由下列公式计算:
Rvd=Fndtan(δd.此处:
Fnd是设计有效荷载,正向于基础底面。
δd是基础底面之设计摩擦角度。
RA对于现场浇铸混凝土基础,设计摩擦角度可假设为设计内摩擦角度
d,至于对平滑预制基础,可假设为2/3
d。对有效内聚力c′可忽略不计。
七、对不排水情况,剪切强度一般由下式限制:
Rvd=A′cud此处:
A′是有效底面面积,定义为基础底面,在偏心荷载情况则为基础之减小面积,其形心位置即为荷载合力之作用点。
如果水或空气可能进入基础与不排水粘土基层间时,必须检查下列情形:
Rvd≤0.4Fnd这里之要求唯有在基础与地基间隙内之水或空气,由抽吸方法防止,而作用范围没有承载压力之增加,可以忽略不理。
第六十一条(大偏心之荷载)
一、当荷载偏心超过矩形基础1/3宽度,或圆形基础之0.6倍半径时,必须特别注意。这包括:
a.根据第十一条之作用力设计数值必须小心检讨;
b.设计基础边界位置时,必须考虑实际施工时可能出现之偏差。
RA除非施工作出特别注意,否则必须考虑至0.10m之误差。
二、上述对于基础边界位置之保守设计数值,在检验承载能力时亦必须使用。
第六十二条(由于基础移动而引致之结构破坏)
一、当结构承受极限状态设计荷载时,基础在水平及垂直方向之差异位移,必须考虑地基之变形参数,确保所支承之结构不会导致极限状态发生。
RA可以采用第五十六条第三段提出之预估承载能力方法,使用设计承载压力,其所引致之位移不会导致结构出现极限状态发生。
二、对于可能膨胀之地基,必须评估可能产生之差异隆起,对基础及结构作出设计,防止或适应其发生。
第三节使用界限状态设计
第六十三条(总则)
一、对于由上部结构引致基础位移,必须同时考虑整个基础之位移及基础各部份之差异位移。
二、当计算类似使用标准之基础位移时,必须采用使用界限状态设计荷载。
三、基础之垂直及水平位移,其可能范围必须作出评定,并与第十五条所列出之位移限制数值进行比较。
四、基础上荷载所产生之位移,如第十一条所列之情况必须作出考虑。
五、考虑由基础上荷载所产生之垂直位移(沉降),其计算方法在第六十四条列出。
RA沉降计算并不能非常准确得到,一般只能提供一些近似指标。
第六十四条(沉降)
一、沉降计算必须考虑即时沉降与延时沉降。
RA对饱和土壤计算沉降时,下列沉降之三要素必须考虑:
a.不排水情形,对完全饱和土壤,由于剪力变形而体积不变之沉降s0;
b.由固结所引致之沉降s1;
c.由潜变所引致之沉降s2。
对于有机性土壤及灵敏性粘土,必须特别考虑,因为其沉降会延续下去,差不多如潜变所产生之沉降一样。
对于可压缩土层之考虑深度,必须根据基础之形状及大小,土壤刚性随深度改变之变化,及基础构件间距离等作出考虑。
一般来说,考虑深度时,由基础荷载产生之有效垂直应力为有效负载应力之20%为止。
在很多情况下,该深度可以粗略估计为基础宽度之一至二倍,但对于荷载较轻,比较宽之筏式基础可以相对作出减少。该处理方法并不适用于非常软弱之土壤。
二、任何由于土壤自行压实所产生之可能附加沉降,必须作出评估。
RA下列情形必须考虑:
a.对易崩塌土壤及填土,考虑自重,水淹及振动可能产生之影响;
b.对易粉碎之沙土,考虑应力改变所产生之影响。
三、地基刚性必须适当采用线性或非线模式其中之一种。
四、差异沉降及相对转动必须作出评定,考虑荷载之分布情况及地基可能出现之变化,保证不会导致使用界限状态之出现。
RA差异沉降之计算若不顾及结构之刚性时,将趋向于过高之预估值。对结构与地基相互作用之分析,可以对差异沉降数值作出合理降低。
对由于地基变化所产生之差异沉降,如果由结构之刚性作用预防时,为可被接受。对于在天然地基上之扩大基础,其大小一般可达到10mm,但通常不会超过计算总沉降数值之50%。
对偏心荷载之基础倾斜,应假设承载压力为一线性分布,然后计算基础边角点之沉降,方法是使用每一边角点下地基之垂直应力分布情况计算。
第六十五条(振动分析)
一、对于振动性结构物之基础,或要承受动载之基础,设计必须能保证振动不会令基础产生过大沉降及振动。
RA但必须特别注意脉动载之频率与基础——地基系统之临界频率间,不会出现共振情况,并保证地基不会出现液化情况。
二、由地震所产生之振动必须根据《结构安全及荷载规章》及在国际上被认可之方法作出考虑。
第四节结构计算
第六十六条(扩大基础之结构计算)
一、扩大基础必须根据第十条至第十五条对结构破坏作出验证。
RA对于刚性基脚,承载压力可以假设为线性分布。对于土壤——结构间之相互作用,可根据第七条第十段之原则作出详细分析,可以作为更经济设计之根据。
对于挠性基础,接触压力之分布可以模拟为基础是一条梁或板,置于有适当刚度及强度之连续变形系统,或一连串有适当刚度之弹簧之上而作出推导。
二、条型及筏式基础之使用性,必须检查所假定之使用界限状态荷载,及符合基础与地基之变形限制,承载压力之分布情形。
RA一般来说,承载压力可以假定为线性分布。
对于集中荷载作用于条型或筏式基础之设计情形,结构之力及弯矩可以利用线弹性理论,由地基基层反力模式推导得出。基层反力模式可以使用有适当估算承载压力分布之沉降分析。该模式必须调整令计算承载压力不会超出所假定弹性行为之数值。
结构之总沉降及差异沉降应根据第六十四条作出计算。为此目的,基层反力模式通常不大适用。
当地基——结构之相互作用为支配效应时,应当使用更加精确之方法,如有限元素计算法。
第六章桩基础第一节一般规定第六十七条(范围)
本章条款适用于端承桩、摩擦桩、承拉桩及横向受力桩,这些桩之施工方式可分为打入桩,压入桩以及有或无泥浆护壁之螺旋桩及钻孔桩。
第六十八条(界限状态)
应符合一系列应当考虑之界限状态,下列界限状态应被考虑:
a.整体失稳;
b.桩基础承载能力破坏;
c.桩基础上拔及没有足够之抗拉能力;
d.桩基础由于受横向荷载而引致地基之破坏;
e.桩身在抗压、抗拉、抗弯、压屈或剪切时之结构破坏;
f.桩基础及基土之联合破坏;
g.结构及基土之组合破坏;
h.过大沉降;
i.过大隆起;
j.不可接受之振动。
第二节设计所考虑之荷载及设计情况
第六十九条(总则)
一、对于界限状态之计算,应考虑第十一条所列之荷载。
二、设计所考虑之情况应根据第八条叙述之原则推导。
RA为了确定桩基础设计中所采用结构传来之荷载,应分析结构及其周围土壤间之相互作用。在相互作用分析中,可能需要考虑变形参数特征值之低值及高值。
第七十条(考虑由基土位移所引起之荷载)
一、桩基础所处之基土可能会受到由固结、膨胀、邻近荷载、土潜变、塌方及地震而引起位移,这些现象影响桩产生如下拉力(负摩擦力)、隆起、拉长、横向荷载及变形位移等,出现该等情况时,移动土体之强度及刚度设计值通常应取较高数值。
二、设计应采用下列其中一种方法:
a.地基土体之位移被认为是一种荷载,然后进行相互作用分析,确定桩所受之力、位移及应变;
b.土体传递给桩身之作用力之上限值作为设计荷载数值;对该力之估算应考虑地基土体之强度、荷载来源,用移动土体之重量、压力或作用荷载分布大小来表示。
第七十一条(负摩擦所引起之作用力)
一、如果在设计计算中将下拉力作为作用荷载,该力应取与桩相关之地基土体之大沉降所产生之下拉力之最大值。
RA最大下拉力之计算应考虑沿桩身周围基土之抗剪能力、压缩土层深度、十体重量以及引起沉降之各桩周围之地面荷载。
对群桩,下拉力之上限值可通过引起沉降之超载重量来计算,并考虑由地下水位降低、土体固结或打桩引致之地下水压力变化。
二、在桩基施工后地基沉降预计较小时,将地基沉降处理成荷载并进行相互作用分析可能是经济设计。地基沉降之设计值应根据第十二条考虑土体容重及压缩性能来推导。
RA相互作用计算应考虑桩对周围下沉土体之相对位移、桩侧土之剪切阻力及土体重量,以及预计引起下拉力之各桩周围之地面荷载。
第七十二条(隆起)
在考虑隆起现象或可能发生于桩周之上拔力时,常将地基土体移动作为荷载来处理。
RA地基土体之膨胀或隆起可由卸载、开挖或邻近桩之施打引起。也可由树木迁移、停止从含水层抽水、新施工阻止水分蒸发及偶然事故而引起地下水含量增加。
隆起现象可能在施工期间桩还没有承受结构荷载前发生,并可能导致过大上拔力或桩结构之破坏。
第七十三条(横向荷载)
地基土体之横向移动即施加横向荷载于桩基础,如果下列情况之一种或组合出现时,应考虑该横向荷载:
a.桩基础两侧有不同大小之超载;
b.桩基础两侧有不同标高之开挖;
c.处于土堤边缘之桩基础;
d.潜变土坡处之桩基础;
e.下沉土体中之斜桩。
RA桩基础之横向受力应将桩作为在变形土体中之梁来估算。
当上部软弱土层之水平向变形很大,而桩间距较大时,横向受力结果取决于软弱土层之剪切强度。
第三节设计方法及设计考虑
第七十四条(设计方法)
设计应依下列其中一种方法进行:
a.经过计算证明或与其他相关经验符合之静荷载试验结果;
b.有效性已由类似情况之静荷载试验结果证实之经验法或分析计算方法;
c.由类似情况之静荷载试验证实为有效之动载试验结果。
RA计算中使用参数之设计值通常应符合第二十六条至第四十条之要求,但在选择参数值时也可考虑荷载试验之结果。
静荷载试验可在试用桩或工作桩上进行,试用桩是指在设计结束以前,为试验目的而施打之桩,而工作桩是指组成基础之一分子的桩。
有时利用类似已有桩基础观察得之性能来取代静荷载试验为可接受之方法,只要该方法有工地勘测及地基土体试验结果支持。
地工分类一之桩基础结构,只要桩型及地基条件在经过范围内,地基情况经验检查以及桩之施打根据第四章之原则进行监督,可通过类似经验来设计,而不需荷载试验或计算支持。
第七十五条(设计考虑)
一、应考虑单桩、群桩以及连接各桩之结构之刚度及强度之性能。
二、在选用计算方法及参数值,以及使用荷载试验结果时,应考虑加载在时间之持续性及变化性等因素。
三、计划将来要铺筑或去除之上覆荷载、或潜在之地下水位演变情况,应在计算中及在使用荷载试验结果中予以考虑。
四、桩型选择,包括桩材料质量及施工方式之选择,应考虑下列因素:
a.现场地基情况,包括地基土层中障碍物之存在及其可能性;
b.在桩基施工期间产生之应力;
c.保护及检查已施工桩之完整性之可能性;
d.桩基施工方法及程序对已施工桩以及邻近构筑物及设施之影响;
e.保证桩基之施工在允许误差范围内;
f.地基中化学物质之有害影响。
RA在考虑上述所列问题时,需要注意下列事项:
a.群桩中桩之间距;
b.桩基础施工期间邻近构筑物之位移或振动;
c.所使用之桩锤或振动锤型号;
d.打桩时引起之动态应力;
e.对那些利用液体于孔内之钻孔桩,需保持一定数值之孔内液体压力,以便保证孔壁不坍以及孔底不出现水力破坏;
f.孔底,及有时孔身之清孔,尤其在皂土泥浆护壁之孔中,沉渣之清除;
g.筑混凝土期间,桩孔局部失稳,可能引致桩身被土体侵入;
h.场浇注桩,桩身被土体或水侵入;
i.混凝土凝结前被地下流动水扰动;
j.边饱和沙层吸取混凝土中水分之影响;
k.基土中化学物质之缓凝影响,或地下水流动对那些不是有永久护套之现浇桩中湿混凝土之影响;
1.置换排土桩打入所引起之土体密实;
m.钻孔桩桩身钻孔时引起之土体扰动。
第四节桩之荷载试验
第七十六条(总则)
一、桩之荷载试验应在下列情况进行:
a.所用桩型或施工方法超出类似经验范围,且未曾在类似地基及荷载情况下试验过时;
b.当所选用之桩施工系统超出进行该项作业工人之经验范围时;
c.在设计中,当理论及经验显示对桩将要承受之荷载没有足够信心时,则桩之试验程序应提供与预期荷载相似之加载;
d.当打桩过程期间之观测显示,桩性能与根据地质勘测或经验所预计之性能,有严重及不利之差别时,并且额外地质勘测亦不能明确偏差原因时。
RA桩之荷载试验可以作为:
a.评估施工方法之适用性;
b.确定代表性桩及周围基土对荷载,在沉降及界限荷载之反应;
c.检查单桩之性能并对整个桩基础进行评估。
当试桩由于在实际上很难模拟荷载变化(如循环荷载)时,应谨慎使用材料特性之设计值。
二、如果进行一根桩之荷载试验,该桩通常应坐落于被认为最不利地基情况出现之处。如果此为不可能,在推导承载能力特征值时应作出折减。
如果进行两根或以上桩之荷载试验,试验位置应能代表桩基础现场情况,并且其中有一根桩应位于被认为最不利地质情况会出现之处。
三、在试验桩施打及开始荷载试验期间,应允许有足够时间间隔,以保证桩身材料达到所需之强度,以及孔隙水压力数值回复到原始情况。
RA某些情况下,为了作出关于试桩开始时间之适当决定,有必要记录由打桩而引起之孔隙水压力及其相应消散。
四、桩之荷载试验应该由独立且有资格之单位进行。
五、桩之荷载试验及其报告应该由有足够地工知识之土木工程师负责。
第七十七条(静荷载试验)
一、桩之荷载试验程序,尤其关于加载分级次数、各级荷载之持续时间以及荷载循环之应用,应能够从桩之量测结果中得出关于桩基础之变形性能,潜变与回弹之结论。而对试用桩而言,加载应能得出极限荷载之结论。
RA试验应按照下列标准进行:
a.向压力荷载试验:ASTMD1143 b.向拉力荷载试验:ASTMD3689 c.横向荷载试验:ASTMD3966 确定力、应力或应变及位移之装置在试验前应予校正。
作用于受拉或受压试验桩之作用力方向应与桩之纵轴线方向一致。
通常用来作为设计拉力桩基础目的之荷载试验,桩之试验应进行至破坏为止。不应使用拉力荷载试验中荷载——位移图形之外延结果。
二、应根据下列事项选择用于验证设计之试验桩之数目:
a.场地范围之地基情况及其变化;
b.结构物之地工分类;
c.以前用文件记录下来之相同类型之桩在类似地基条件下其特性之证据;
d.在基础设计中桩类型之数目及桩之总数。
三、试桩位置之地质条件应彻底勘测,钻孔及工地试验应有足够深度,来评估桩尖周围与桩尖下之地基土体之性质。还应包括对桩之变形特性很可能有很大影响之所有土层,除非在较浅地方发现坚固岩体,或很坚硬之土体,否则应至桩尖下起码五倍桩身直径处。
四、试用桩之施工方法应根据第九十九条之要求作充分记录。
五、工作桩荷载试验之数量应根据施工期间之记录上之情况来确定,试桩数量起码为桩总数之1%,并至少须有一根。在适当判断及以文件存档之特殊情况,即由于受空间限制或由于其他理由,使得所规定之静荷载试验最小数量不能进行时,一些试验可由动载试验代替。在这种情况下,动载试验应由静荷载试验校正。
RA取代一个静荷载试验之动载试验数目最小为2。至于动载试验之适当数目,应由负责设计之土木工程师判断而作出决定。
工作试桩之选择应在合同文件里规定,该规定应与桩之施工记录结果相联系。
六、作用于工作试桩上之荷载,起码应等于控制基础设计之设计荷载之1.5倍。
RA静荷载试验所施加之荷载,建议依照在ASTM1143所作出之规定。
第七十八条(动载试验)
一、只要进行足够之地质勘测并在同一桩型,类似长度及断面尺寸以及在类似之地质情况下,经静荷载试验校正过之情况,动荷载结果可用于设计中。
二、动载试验结果总被认为相互之间相联系。
RA试验可用于检测桩之一致性及探测薄弱者。
第七十九条(荷载试验报告)
试验报告由所有荷载试验组成,还应适当包括下列各项内容:
a.场描述;
b.地质勘测所反映之地基情况;
c.桩型;
d.关于加载,量测设备及其反力系统之描述;
e.荷载压力盒、千斤顶及仪表之校正文件;
f.试验桩之施工记录;
g.桩与试验场地之摄影记录;
h.以数字形式记录之试验结果;
i.当使用分级加载程序时,每一个所施加荷载之时间沉降曲线;
j.测得之荷载沉降特性;
k.与上述推荐方法相偏离之解释理由。
第五节承压桩
第八十条(界限状态设计)
设计应证明不会出现下列各种界限状态:
a.整体失稳极限状态;
b.桩基础承载能力破坏极限状态;
c.桩基础之塌场破坏,或其位移导致所支承结构物严重破坏之极限状态;
d.桩位移导致之支承结构物之使用界限状态。
RA整体稳定应根据第八十一条检验,通常应在设计过程中考虑关于承载能力破坏之安全储备,当桩为不规则在地基置换排土时,其阻力之增加不予考虑。
桩之沉降在第八十七条中考虑,对于那些需要大沉降才能达到其极限承载力之桩,在该桩之承载阻力还没有充分发挥前,其所支承之结构可能已出现极限状态。在这种情况下,在第八十三条用来推导特征值及设计值之方法同样适用于整条荷载沉降曲线,并具有相同之数值系数。
第八十一条(整体稳定之验正)
一、应考虑承压桩基础整体失稳破坏。
RA可能出现不稳定现象之处,应考虑破坏滑动面在桩底下穿过及与桩相交两种情况。
二、与扩大基础之整体稳定性有关之第五十八条同样适用于承压桩基础。
第八十二条(承载能力之验正)
一、为了证明基础能够承受设计荷载,并对承载能力破坏有足够安全度,对所有极限状态之荷载情况及荷载组合情况,应满足下列不等式:
Fcd≤Rcd此处:
Fcd极限状态轴向设计压力荷载。
Rcd桩基础中经考虑倾斜及偏心荷载之影响后,所有极限状态轴向设计承载阻力之和。
RA原则上,Fcd应包括桩身自重,Rcd应包括基础底面以上基土之超载。然而,如果大致相等,该两项因数可互相抵消,但在下列情况时不可取消:
a.下拉力很大;
b.基土很轻;
c.基桩延伸出地面。
二、在群桩中,应考虑两种破坏机理:
a.个别桩之承载能力破坏;
b.桩及桩间土形成之整体承载能力破坏。
设计承载能力应取上述两者中之低值。
RA通常在计算群桩整体承载能力时,将该群桩整体作为一个大直径之单桩。当使用桩来减少筏式基础之沉降时,可使用与潜变点相对应之承载阻力进行结构之使用状态分析。
三、在估计个别桩之极限承载能力时应考虑邻近桩之潜在不利影响。
四、如果桩之持力层下卧有软弱土层,应考虑该软弱土层对基础承载能力之影响。
五、当推导群桩之设计承载能力时,应考虑群桩中连接各桩之结构特性。
RA如桩支承柔性结构,可认为承载能力最差之桩控制界限状态之发生。
如桩支承刚性结构,可考虑结构荷载重新在桩间分布之优点,只在足够数量之桩一起破坏时才可能出现界限状态。因此,不必考虑只有一根桩破坏之破坏模式。
应特别注意所支承结构之斜向荷载及偏心荷载而引起之边桩之可能破坏。
第八十三条(由桩荷载试验得出极限承载能力)
一、荷载试验方法应符合第七十六条到七十九条及设计报告规定之要求。
二、所要试验之试用桩应与组成基础之桩之施工方法一致,并应置于同一土层。
RA如试用桩之直径与工作桩不同,在评估所取用桩之承载能力时,应考虑不同直径桩之性能之可能差异。
在大直径桩之情况下,进行原型试用桩之荷载试验经常属不实际。只要符合下列情况,可考虑进行较小直径试用桩之荷载试验:
a.试用桩/工作桩直径之比不小于0.5;
b.较小直径之试用桩应与基础桩以同一方法制作及施工;
c.试用桩之仪器应安装成能够从量测结果中分别得出桩侧及桩底阻力。
由于桩径对调动椿内土塞之端承力之影响,本方法在开口桩时应谨慎使用。
三、在承受下拉力之桩基础中,桩在破坏时之承载阻力、或者桩在等于由荷载试验结果所确定之极限状态位移时之承载阻力,应在桩顶测得之力减去在压缩土层所测得之力、或者压缩土层最不利之设计正摩阻力用值进行修正。
RA在进行荷载试验期间,正摩擦力会在桩全长范围内发展,并应按第七十一条之规定考虑,作用于工作试桩上之最大作用荷载,应超过设计外力总和并加两倍下拉力。
四、当从一根或几根桩荷载试验所测得之R0值来推导极限承载能力特征值Rck时,由于地基条件及椿施工效果之变异性,应留有余量,使用下列公式时起码应同时满足表二中之a、b条件。
Rck=

RA在解释桩之荷载试验时,应区别地基土体系统及随机之变化因素,基土变化之系统因素可由考虑不同区域有各自不同之条件,或现场位置基土变化之趋势所造成。
应检验试桩之施打记录,任何与正常施打情况差异之现象应予以解释,这种变化差异可为正确选择试桩之部分原因。
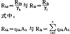
五、为了推导极限设计承载能力,特征值Rck应分成桩底阻力Rbk及桩侧阻力Rlk两部分,如下:
Rck=Rbk+RlkRA这些分量之大小可从荷载试验结果中得出。例如:当已进行这些分量之量测或采用第八十四条之方法估算出。
六、可由下列公式得出设计承载能力Rcd:

式中γb、γ1两值由表三得到

RA通常荷载试验仅能提供桩荷载与沉降以及时间与沉降之间之曲线,不会区别桩尖与桩侧阻力。因此,对用于估算桩尖与桩侧承载阻力设计值之分项系数进行区别通常为不可能。桩之极限承载能力特征值Rck分项安全系数,可取用表三中之γ1值。
第八十四条(由土工试验得出极限承载能力)
一、桩之设计承载阻力Rcd可由下式求得:
Rcd=Rbd+Rld此处:
Rbd设计桩底阻力
Rld设计桩侧阻力
二、Rbd、Rld由下述两式得到:

此处:
Rbk,Rlk分别为桩底及桩侧阻力特征值
Ab桩底公称截面积
Ali桩在第i层土层处公称表面积
qbk桩底单位面积阻力特征值
qlik第i层土层桩单位面积侧摩阻力
三、γb、γ1值可从表三中得到。
四、特征值qbk及qlik可从已建立之荷载试验结果,与现场或室内土工试验结果间之相关关系由计算获得。这些计算原则应该使利用特征值qbk及qlik所获得之极限承载能力,平均不超过用来建立相关关系所测得之极限承载阻力除以1.5。
五、应根据第四条中定义之类似经验来建立计算原则。
RA在评估计算原则之有效性时。应考虑下列因素:
a.土体类型,包括级配、矿物成分、棱角性、密度、超固结、压缩性及渗透性;
b.桩之施工,包括钻孔及打桩方法(或其他施工方法),桩长、桩径及材料;
c.土体之试验方法。
六、当计算桩底阻力时,应考虑桩底上下区域土体之强度。
RA影响端承力之基土范围在桩尖上下几何直径范围内,在设计中,应注意该区域内对桩之端承力有很大影响之软弱土层。
如桩尖以下四倍桩底直径范围内出现软弱土层,应考虑桩之刺入式破坏机理。
七、对于大于500mm之开口打入式管桩或箱形桩,如管内或箱内没有特别构造来引起土塞,其端承力应限制为下列两者中较小之数值:
·土塞及管形或箱形桩内表面之剪切阻力;
·用桩底断面积推导出之端承力。
八、如果装有超大尺寸底板,应考虑该超大尺寸底板对桩底及桩侧阻力之不利影响。
第八十五条(由打桩公式得出极限承载能力)
一、如果采用打桩公式来估算基础中个别承压桩之极限承载能力,该公式之有效性应预先获得由同类桩型、类似长度及断面积,以及相类似地基条件下,具有良好性能之试验数据证实,或静荷载试验来证实。
二、打桩公式仅适用于地基土分层已确知之情况。
三、在设计中,应指定复打桩之数量,如复打得到较小数值,应用作评估极限承载阻力之依据,如复打得到较大数值,可考虑该数值。
RA除非当地类似经验显示没有必要,否则在粉土地基中通常应进行复打。
第八十六条(由波动方程分析得出极限承载能力)
一、凡是利用波动方程分析,佑算个别承压桩之承载能力时,该等分析需经相同桩型,类似桩长及断面尺寸以及相似地基条件下,先前可接受性能之证实,或需经静荷载试验来佐证其有效性。动载试验时之输入能量应足够大,以便允许在相应足够大之桩身应变时,对桩之承载能力作出适当解释。
二、波动方程分析中之输入参数可由试用桩所进行之动载试验修正。
RA动载试验可使对桩锤性能及动力土参数有更多之认识。
三、波动方程分析通常仅适用于通过钻孔及现场试验已清楚地基分层之情况。
第八十七条(沉降)
一、应估算使用界限状态及极限状态之沉降数值,并应将该沉降数值及按第十五条所给予之相应移动限制值进行比较。
二、如桩之极限承载力在没有充分发挥前已经出现所支承结构的极限状态,第八十三条用来推导特征值及设计值之程序也适用于整条荷载沉降曲或,并使用同一系数及对下拉力同样处理。
三、沉降之估算应包括下列因素:
a.单桩沉降;
b.由群桩效应引起之附加沉降。
沉降分析应包括对可能出现之差异沉降之估算。
第六节承拉桩
第八十八条(总则)
承拉桩之设汁应尽量与第八十条至第八十七条所规定之设计原则一致。本节所述之特指承拉桩基础之设计原则。
第八十九条(极限抗拉能力之验正)
一、为了证明基础在设计荷载作用下具有足够之抗拉破坏安全系数,所有极限状态荷载情况及荷载组合均应满足下列不等式:
Ftd≤Rtd 此处:
Ftd极限状态时轴向设计拉力荷载;
Rtd桩基础极限状态时设计抗拉承载力。
二、对承拉桩,应考虑两种破坏机理:
a.桩从土体中拔出;
b.包含有桩之整块土体被拔起。
RA对于单独之承拉桩或承拉群桩,尤其在扩大桩底或桩尖嵌入岩体之桩,可能会出现锥形土体被拉出之破坏。
三、为了保证有足够安全系数,来防止承拉桩及周围土体整体如图一所示被拔起,所有极限状态荷载情况及荷载组合应满足下列不等式:


此处:
Ftd作用于群桩上之设计拉力荷载;
Wd设计基土块体重量(包括水重)及桩之重量;
Rvd基土块体周边所产生之设计抗剪切力;
F1d桩基础顶面由水压力所引起之设计向下荷载;
F2d基土块体底面由水压力所引起之设计向上荷载。
RA一般情况下,如桩间距离等于或小于桩长与桩径乘积之平方根,基土块体上拔效应将控制抗拉能力。
四、群桩效应可能会减小土体中之有效垂直应力,因而减小群桩中单桩之桩侧阻力,因此当估算群桩之抗拉能力时,应考虑群桩效应。
五、应考虑循环荷载及反向荷载对桩之抗拉能力之严重不利影响。
RA应采用以桩荷载试验为基础之类似经验评估该影响。
第九十条(由桩荷载试验得出极限抗拉能力)
一、应按照第七十六条至七十九条之规定并适当考虑第八十三条之规定,进行确定单桩极限抗拉能力Rt之荷载试验。
二、当从一根或几根桩荷载试验所测得之Rt值来推导极限抗拉能力特征值Rtk时,由于地基条件与桩施工效果之变异性,应留有余量,使用下列公式时起码应同时满足表四中之a、b条件。


RA一般情况下,当桩承受拉力荷载时,应进行多于一根桩之试验。当有大量受拉桩时,应试验起码2%之桩。
应检查试验桩之打桩记录,应在桩之荷载试验结果中解释任何有异于正常施工情况之现象。
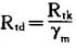
三、设计抗拉能力Rtd应从下式得到:

式中:γm=1.6
四、当从单桩荷载试验结果推导群桩之抗拉能力时,应考虑桩间之相互作用。
第九十一条(由土工试验得出极限抗拉能力)
一、得自土工试验结果之计算方法,仅能在类似桩型、桩长、截面积及类似地基条件下之荷载试验证实为有效时,才可使用。
二、利用土之强度参数来求出承拉单桩或承拉群桩之抗拉能力设计值之估算,应考虑形成桩之抗拉能力之土体中,桩与土体间之剪切强度。
第九十二条(垂直拉移)
应估算使用界限状态之垂直位移,并与相应位移之限制数值进行比较。
RA应按第八十七条之总原则进行估算,通常对极限抗拉能力之检查会保证垂直位移不会导致结构之破坏或出现使用界限状态。然而,在某些情况下,可能会有非常严格之使用界限状态标准,因而可能需要对位移进行分别检验。
第七节横向受力桩
第九十三条(总则)
承受横向荷载之桩之设计应与第八十条到第八十七条规定之设计原则一致,本节所述之特指横向受力桩基础之设计原则。
第九十四条(极限横向承载能力之验证)
一、为了证明基础能够承受横向设计荷载,并有足够安全度抵抗破坏,各种极限状态荷载情况与荷载组合应满足下列不等式:
Fvd≤Rvd此处:
Fvd极限状态时轴向设计横向荷载;
Rvd桩基础极限状态时轴向设计横向承载能力,考虑所有轴向压力或拉力之影响。
RA应考虑下列其中一种破坏机理:
a.对短桩而言,像刚体般转动或移动;
b.对长细桩而言,伴随着局部屈服及桩顶附近土体位移之抗弯破坏。
二、当估算横向受力桩之承载能力时,应考虑群桩效应。
三、当桩群受横向荷载时,可能对桩产生压力,拉力及横力之组合情况。
第九十五条(由桩荷载试验得出极限横向承载能力)
一、桩顶水平位移测试应按照第七十六条至第七十九条之规定,并适当参考第八十三条之规定进行。
RA与第七十七条叙述之荷载试验程序不同,通常不必将桩之横向荷载试验进行至破坏状态。试验荷载之大小及作用方向应模拟桩之设计受荷情况。
二、在选择试桩数量及由荷载试验结果推导桩之设计横向承载能力时,考虑到地基土体,尤其是桩顶几米范围土体之变异性,应留有余量。
RA应检查关于试桩施工之资料,任何有异于正常施工情况之现象应在桩之荷载试验结果中解释。当从单桩试验结果推导群桩之横向承载能力时,应考虑桩间横向相互作用与桩顶连接情况。
第九十六条(由土工试验结果及桩之强度参数得出极限横向承载能力)
一、应采用一套相适应之结构弯矩、剪力、地基抗力及拉移来计算单桩或群桩之横向承载能力。
二、根据第九十八条之规定,横向受力桩之分析应包括地面以下,在地基土中桩之可能结构破坏。
RA长细桩之横向受荷能力计算,可采用作用于端部,并以水平基层反力模数为特征之变形介质,所支承之梁之理论来进行。
三、当估算桩之横向承载能力时,应考虑桩连接结构之转角自由程度。
第九十七条(横向位移)
桩基础顶部之横向位移之估算应考虑下列因素:
a.地基土体之刚度及其之在不同应变水平之变化;
b.单桩之抗弯刚度;
c.桩在与结构连接处之固定弯矩;
d.群桩效应;
e.反向荷载或循环荷载之影响。
第八节桩之结构设计及施工监督
第九十八条(桩之结构设计)
一、桩对结构破坏之校核应符合第十条至第十五条之规定。
RA先张法高强度离心混凝土管桩(通常称作PHC 桩)之质量要求建议按照日本工业规范JLSA5337执行。
二、桩之结构应设计成能够承受施工期间及使用阶段,包括运输及打桩时之各种荷载情况。如有必要,承受拉力荷载之桩应设计成桩身全长范围内,均能承受全部拉力。
三、结构设计应能适应该类桩所规定之施工允许误差,作用力分量,以及其基础性能。
四、穿过水体或很软弱之厚沉积土之细长桩,应检查桩之压屈稳定。
RA完全埋没于基土中之桩,不太可能发生压屈破坏。
根据已有之经验,在特征不排水强度小于15kPa之土层中,应检查桩之压屈稳定。
第九十九条(施工监督)
一、桩基础之施工计划是工程施工之基础。
RA该计划应提供下列设计资料:
a.标准或技术上核准之指定桩型;
b.各桩之位置,倾斜情况以及其允许误差;
c.桩之横断面尺寸;
d.桩长;
e.桩数;
f.所需要桩之持荷能力;
g.桩尖标高(参考现场附近之固定基准),或所需之贯入阻力;
h.桩之施工程序;
i.已知障碍物;
j.任何对打桩活动有限制之条件。
二、应观察桩之施工,当桩施打后应在现场完成打桩记录,每根桩都应保存具有工程监督人员及桩制作者签名之记录。
RA每根桩之记录应适当包括下列内容:
a.桩型及打桩设备;
b.桩数;
c.桩断面、长度及配筋(对混凝土桩);
d.打桩日期及时间(包括施工程序之中断);
e.对场铸桩来说,混凝土配合比,使用之体积,及浇灌方法;
f.混凝土容重、pH值、Marsh粘滞度及皂土泥浆之粘粒含量(若使用时);
g.沙浆或混凝土浆之泵压力,内外直径,螺距及每转贯入深度(指连续螺旋钻孔桩或其他喷射桩);
h.打入桩之打桩阻力数值量测,如锤重、桩锤落距或锤击能量,及起码最后0.25m贯入深度之锤击频率及锤击数;
i.振动锤之起跳能量(如使用时);
j.作用于钻孔马达上之扭转力矩(如使用时);
k.钻孔桩在钻孔时所达到之土层及其孔底情况,如孔底特性很关键时;
1.打桩时所遇到之障碍;
m.桩位、斜向及竣工标高等之偏差。
三、桩之记录应至少保存至工程完工后五年,打桩完工后应归档竣工记录图并与施工文件一起保存。
四、如现场观测或检测记录显示桩之施工质量方面有不确定因素时,应进行另外之调查,确定已竣工桩之情况,及是否需采取补救措施。这些调查应结合可疑桩邻近之土力学现场试验、桩之复打或桩之完整性试验,以及桩之静荷载试验等。
五、如桩之施工程序不能用可靠方法监控,那些桩质量对施工程序敏感之桩之完整性,应使用试验进行检查。
RA动态小应变完整性试验可用于对那些可能有严重缺陷之桩,或在施工期间可能导致土体强度严重损失之桩作总体上之评估。对建筑物之基础,根据防火安全条例第五条,属于A级高度(高度介于20.5m及50m间)
包括与MA级(高于50m),应分别对桩进行50%及100%之动态小应变完整性试验。
但是,如混凝土质量不够好,混凝土保护层厚度不足等缺陷,会影响桩之长期性能,而经常不能由动力试验所发现,因此可能需要其他试验帮助执行监督工作,如超声波检查,振动试验或取芯样等。
附件一 符号
拉丁大写字母
A面积
F作用力(力)
R阻力(力)
W重量
X基土特征值
拉丁小写字母
c′有效内聚力
cu不排水剪切强度
q强度(单位面积)
s沉降
希腊小写字母
γ分项安全4系数
δ地基与基础构件之间之剪切角
φ剪切角
ξ估计特征值所使用之系数
下标
b桩底面
c压力
d参数之设计值
k参数之特征值
l桩身
n正向,垂直方向
p被动力
t总值,张力
V剪切力,横向
附件二施工监督及性能观察一览表
RA下列项目含有在施工监督,或对已完成地工结构物性能之观察时应考虑之重要项目,条件之重要性根据不同之工程而改变,所列条款也并没有穷尽,本规章章节中已报告过涉及地工工程特殊情形或工程特殊型式之项目。
施工监督
要检查之一般项目
一、地基条件、结构位置及总体布置之校验。
二、地下水流及孔隙水压力情况;祛水作业对地下水位之影响;控制渗流方法之有效性;内部侵蚀过程及管网;地下水之化学成分;腐蚀之可能性。
三、开挖槽及基底之位移、屈服与稳定性;临时之支承系统;对邻近建筑物及公共设施之影响;挡土结构物土压力之量测;由开挖或加载而引起之孔隙水压力变化之量测。
四、适当考虑地工界限状态对工作人员之安全。
水流及孔隙水压力
五、为了保证控制所有过大压力会影响土坡或开挖基坑底面稳定之含水层之孔隙水压力,应要具备足够完整之系统,包括基坑底面含水层之自流水压力,祛水系统中排出之水体;整个开挖范围之地下水位降落以防止土体翻腾及流动;由施工设备引起之土层管涌及扰动;降雨或其他地面水之排泄。
六、在整个施工期间,祛水系统作业之效率及有效性应考虑到井管滤网之硬壳化,井或集水坑之淤塞、水泵之磨损,以及水泵之堵塞等之影响。
七、应控制祛水以避免对邻近结构物或区域之干扰;观察水压之水平;如要求水体回灌时,注意回灌系统之有效性以及其运行及维修。
八、邻近结构或区域之沉降。
九、钻孔排水水平向之有效性。
性能观察
十、建筑物及其他结构物在规定时间间隔间之沉降,包括由于受振动,欠稳定土影响之结构物。
沉降之观察必须参考稳定之观察点。
十一、侧向位移、变形,尤其是那些与填土区及堆货场有关之情况;土基所支承之结构物如建筑物或大型槽,以及深开挖之沟渠。
十二、建筑物或邻近区域底下水压之水平,尤其是当安装了深层排水或永久性之祛水系统时,或进行深层地下室施工时。
十三、考虑到正常回填荷载、堆载之影响、填土或其他地面荷载,以及水压力作用时挡土结构物之挠曲或位移。
十四、排水沟渠之流量量测。
十五、特殊问题:
如锅炉、热力管等较高温度之结构物等,粘土或粉土之干燥作用;温度之观察;位移。
低温度结构物,如冷却剂之安装或冷藏区域;温度观察;基土冰冻;冻涨;位移及解冻融化之影响。
十六、水密性。