![]() |
|
||
|
|
|||
法令 第90/99/M号
核准海本活动规章
十一月二十九日
第一条 (核准)
核准《海事活动规章》,该规章附于本法规一并公布,且成为本法规之组成部分。
第二条 (概念)
为适用《海事活动规章》之规定,下列概念应理解为:
a.本地区之船舶-属于包括自治机关、自治基金组织及各市政厅在内之澳门公共行政当局部门之商船;
b.船长-船舶之船长、驾长、主驾驶或负责人。
第三条 (过渡规定)
受《海事活动规章》规定约束之船舶,应于本法规生效起一年内使其状况符合规范。
第四条 (废止)
废止下列法规:
a.经一九○九年十一月三日之起法规核准之(澳门港务局规章);上述法规均公布于一九0九年十二月二十三日第五十一期《政府公报》副刊;
b.经一九二七年九月十四日第14287号命令延伸至澳门之一九二五年七月十八日第11210号命令、一九二六年五月十四日第11662号命令及一九二七年二月二十三日第4821号训令;上述法规均公布于一九二八年三月十七日第十一期《政府公报》;
c.经一九四三年十一月二十日第33252号法令核准并由一九四四年二月十九日第10607号部长训令延伸至澳门之《商船之刑事及纪律法典》;该两项法规均公布于一九四六年五月二十五日第二十一期《政府公报》;
d.公布于一九四六年七月六日第二十七期《政府公报》之一九四五年四月七日第10918号训令;
e.公布于一九五六年四月十四日第十五期《政府公报》之一九五六年三月二十六日第15796号训令;
f.公布于一九七一年一月九日第二期《政府公报》之七月二日第307/70号法令;
g.公布于一九七¡年十一月七日第四十五期《政府公报》之十月二十四日第497/70号法令;
h.公布于一九七一年二月二十日第八期《政府公报》之二月八日第63/71号训令;
i.公布于一九七一年十一月十三日第四十六期《政府公报》之十月二十一日第435/71号法令;
j.四月十九日第14/93/M号法令。
第五条 (开始生效)
本法规于公布后满三十日开始生效。
海事活动规章
第一章 一般规定
第一条 (范围)
本规章适用于包括本地区之船舶在内之所有属商船队之船舶,且不论其航行范围为何,此外,亦适用于该等船舶之使用者。
第二条 (澳门港务局局长之权限)
澳门港务局(葡文缩写为CPM)局长有权限:
a.处理船舶之结关单;
b.在海事登记内为船舶作登录;
c.监察船舶之进出活动;
d.将任何发生于海事管辖权范围内与公共利益有关之事件通知有权限实体;
e.指定不同类型之锚地且定出其范围,并对锚地进行定期检查;
f.检查海事管辖权范围内之码头、海滩及沿岸,规范各类船舶之系泊、锚泊及靠泊方式以及位置安排;
g.检查进出船舶;
h.核实船舶是否有权使用显示其国籍之旗帜;
i.核实船舶之船上文件是否符合法律规定;
j.执行卫生当局之命令;
l.丈量船舶吨位;
m.监察引航工作;
n.行使纪律惩戒权限。
第二章 商船
第一节 吨位之丈量
第三条 (吨位丈量之定义及类型)
一、船舶吨位丈量包括总吨位“gross tonnage”(GT)丈量及净吨位“nettonnage”(NT)丈量。
二、总吨位丈量是指按照本规章之规定测量船舶之总容积。
三、净吨位丈量是指按照本规章之规定测量船舶之可使用容积。
第四条 (吨位丈量之规则)
一、凡长度等于或超过二十四米之进行国际航行之船舶,按照一九六九年《国际船舶吨位丈量公约》(TONNAGE)之规定进行吨位丈量;该等规定已被纳入澳门之域内法。
二、如属非上款所指之船舶,不论其长度及航行范围为何,均按照载于成为本规章组成部分之附件一之规定进行丈量。
第五条 (计算结果之呈交)
一、向澳门港务局呈交以待核准之船舶建造或改建计划时,应附同按照本规章之规定进行之吨位丈量之计算结果。
二、为使在本地区以外地方建造或改建之船舶符合法律规定,有关计划亦须附同相关之吨位丈量之计算结果。
第六条 (丈量吨位)
一、如在船舶建造期间丈量吨位,应于船舶下水前为之。
二、如属机械推动之船舶,建造者应于安装机器前申请丈量船舶总吨位。
三、在上述任一情况下,丈量拟减去之空间应于稍后之时间进行,而该时间由有权限实体与建造者协商后订定。
第七条 (丈量船舶吨位之实体)
澳门港务局及船级社有权限丈量船舶吨位。
第八条 (证书之发出)
一、对于第四条第一款所指之船舶,按照成为本规章组成部分之附件二所规定之式样发出国际吨位证书。
二、对于其余船舶,则按照成为本规章组成部分之附件三所规定之式样发出吨位证书。
三、以上两款所指之证书由澳门港务局发出。
四、船级社得获许可按照成为本规章组成部分之附件四所规定之式样,对第一款所指船舶发出吨位证书。
五、获许可发出吨位之船级社,应将所发出证书之吨位丈量之计算结果副本送交澳门港务局。
六、澳门港务局得以船级社之计算结果为依据发出吨位证书。
第九条 (船舶之改建)
如船舶之改建导致吨位数值改变,则吨位证书失效。
第十条 (为作临时登录而采用之吨位证书)
一、为在海事登记内作临时登录,外国行政当局发出之吨位证书视为有效。
二、如属上款所指之情况,澳门港务局应在吨位证书上作附注,证明该证书获澳门地区行政当局承认,自作出临时登录之日起计,获承认之期间最长为六个月,而有关证书于该期间届满时失效。
第十一条 (于澳门港口之非在本地区登记之船舶)
一、澳门地区行政当局根据《国际船舶吨位丈量公约》
第十一条之规定,承认该公约缔约国之行政当局所发出之非在本地区登记之船舶证书有效。
二、如属不受一九六九年之公约约束之非在本地区登记之船舶,则接受按照船舶登记国现行规定发出之证书。
第二节 海事登记
第十二条 (海事及商业登记)
一、船舶为从事决定其船舶分类之活动,必须:
a.按照本规章之规定在澳门港务局之海事登记内作登录;
b.按照有关法律之规定作商业登记。
二、在澳门港务局之海事登记内作船舶登录,旨在查核船舶是否符合技术性质之要件及适航性与海洋环境保护所需之安全条件,且成为能否作商业登记之先决条件。
三、商业登记之主要目的是公开船舶之法律状况,以保障受法律保护之有关交易之安全。
第十三条 (登录之更改及取消)
一、澳门港务局应自发生导致登录、修改登录或取消登录之行为起五个工作日内,依职权将所作出之登录,以及对登录之任何修改或取消通知登记局。
二、取消船舶之登录,不影响在登记局内有关该船舶之仍有效之纪录。
第十四条 (商业登记之更改及取消)
登记局应自发生导致登录、修改登录及取消登录之行为起五个工作日内,依职权决定谁为船舶所有人或船舶经营人之事实之任何变更及取消通知澳门港务局。
第十五条 (临时登记)
在本地区以外地方取得或建造之船舶,须在相应地点之外交实体以简易方式作临时登记。
第十六条 (海事登记)
一、在海事登记内,不允许船舶作多于一种活动之登录或多于一个从事活动之范围之登录。
二、无配备推进装置且不受下条约束之船舶,须作个别登录。
第十七条 (免除在海事登记内作登录之船舶)
一、下列船舶获免除在海事登记内作登录:
a.放在船舶上之小船,即使属救生艇亦然;
b.辅助捕鱼之小船;
c.在离岸三百米范围内使用之无配备发动机或帆之海滩小船。
二、上款b项及c项所指之船舶受澳门港务局管辖,并由澳门港务局局长负责发出该等船舶之经营准照。
第十八条 (在海事登记内作登录之要件及方式)
一、在海事登记内作登录是以在澳门港务局缮立之笔录为之,笔录内主要载有下列资料:
a.笔录之序号及缮立日期;
b.与取得船舶之凭证一致之船舶所有人之身份资料;如属共同所有之情况,则载有与取得船舶之凭证相符之各共同所有人之身份资料,并具体指明各人所拥有之本身份额;
c.取得船舶之方式;
d.船舶在海事登记内之登录编号或船舶之认别资料组合及名称、符合法律规定之船舶分类、建造地点及日期、吨位及特征尺度,在有需要时正式给予有关船舶之视觉标志及无线电标志(呼号),以及推进系统;
e.登记检查之日期。
二、在海事登记内登录须透过船舶所有人或其法定代理人签署之申请书为之,申请书应列明:
a.船舶之名称;
b.船舶建造地点及日期以及推进系统或船具;
c.船舶所从事之活动;
d.船舶拟从事该活动之范围。
三、上款所指之申请书应附同:
a.经认证之申请人身份证明文件影印本;
b.取得船舶之凭证之影印本;
c.在有需要时,须附同证明建造准照编号及日期之文件;
d.吨位证书;
e.证明第一款d项所指呼号之文件;
f.登记检查书之证明;
g.如申请人为公司,须附同经适当更新资料之商业登记证明之影印本;
h.缴付进口之固有税项及其他海关费用之证明文件,但以进口之船舶为限;
i.船舶取消先前登记之证明书及船舶通行证,但以非在澳门登记之船舶为限。
四、如船舶属本地区所有,第二款所指之申请书以盖有钢印之有关船舶所属机关之经认证公函代替。
五、申请人之签名应经公证认定,但申请人亲身呈交申请书且以身份证明文件证明其身份者除外,而该证明程序须在呈交行为中为之。
六、如申请书透过事务所设于澳门之律师或法律代办呈交,则免除签名之认定。
七、在本地区以外地方发出之文件按民法规定受理;在有需要时,利害关系人应呈交该等文件之符合《公证法典》规定之译本。
八、作为在海事登记内作登录之依据之文件,均存档于澳门港务局内。
第十九条 (在海事登记内之登录之证明书)
一、船舶在海事登记内作登录后,将获发一份用于作商业登记之证明书。
二、证明书之式样由训令核准。
第二十条 (拒绝在海事登记内作登录)
如属下列情况,澳门港务局得拒绝为船舶在海事登记内作登录:
a.船舶之特征被视为有损本地区之利益,尤其是由核能推动之船舶及运输危险物品之船舶;
b.澳门港务局因船舶之类型、吨位或所从事之活动而无技术能力确保该等船舶之安全;
c.澳门港务局因船舶所备有之船上文件、因船舶欠缺船上文件或因检查结果而对该等船舶之安全有所质疑,尤其在船舶之稳定性、保养状况及预防污染等方面;
d.对在船上从事任何工作之受雇人员之安全、健康及舒适构成影响;
e.船舶之特征不适合其拟从事之活动。
第二十一条 (在海事登记内之登录之取消)
一、如船舶之登录被更改或删除,则澳门港务局取消该船舶在海事登记内之登录。
二、为适用本规章,下列概念应理解为:
a.登录之更改——船舶之登录由另一登录代替;
b.登录之删除——剔除船舶登录。
三、以附注方式作出之登录之变更,构成简单之登录修改。
第二十二条 (在海事登记内之登录之更改及修改)
一、在下列情况下,更改船舶之登录:
a.所有权全部或部分转移;
b.改建;
c.改变船舶分类。
二、如属下列情况,以附注方式对登录作出简单之修改:
a.仅更改名称;
b.本地商船,本地及沿海渔船以及本地辅助船发生上款a项及b项所指之任一情况。
第二十三条 (登录更改之方法)
一、新登录应按第十八条第一款之规定作出。
二、如属上条第一款b项及c项所指之情况,登录须透过由有关船舶之所有人或其法定代理人签署之申请书为之,申请书应列明先前之登录、申请之理由及第十八条第一款所指之资料,并附同:
a.第十八条第三款a项、e项及f项所指之文件;
b.与船舶之最新商业登记相符之所有权之凭证。
三、适用第十八条第四款至第八款之规定。
四、作为在海事登记内作新登录之依据之文件,连同与先前登录有关之仍然有效之文件一并存档于澳门港务局内。
第二十四条 (以简单附注方式作出之修改)
一、以简单附注方式作出之修改须透过申请书为之,申请书应指明拟修改之登录及申请之理由,并附同导致作出修改之事实之证明文件。
二、适用第十八条第四款至第八款之规定。
第二十五条 (船舶文件之更新)
更改或修改在海事登记内之登录后,应立即向澳门港务局呈交需要替换或以附注方式作出简单修改之文件,并在更改后将之退还。
第二十六条 (在海事登记内之登录之删除)
一、船舶之登录基于下列原因而被删除:
a.拆毁船舶;
b.拆解船舶;
c.船舶沉没灭失;
d.船舶自离开港口或获知其最后消息之日起失去音讯逾两年而推定为灭失;
e.丧失船舶国籍。
二、不具适航性本身不足以构成删除登录之原因。
三、领事当局应于五日内将在有关领事馆辖范围内之任何船舶之不具适航性之裁定、拆解、沉没或被海摧毁等情况通知澳门港务局。
第二十七条 (拆毁或拆解船舶之条件)
一、拆毁在海事登记内作登录之船舶,须取得澳门港务局局长之许可。
二、如登录之船舶被认定不具适航性且无法修复或对航行构成危险,澳门港务局局长得命令将之拆解。
第二十八条 (拆毁之申请)
一、拆毁船舶之请求,须由船舶所有人透过呈交予澳门港务局局长或呈交予船舶所停泊之本地区以外之港口之外实体之申请书提出;申请书须附同有关船舶应具备之船上文件。
二、接获申请书之实体应命令两名鉴定人检查有关船舶,以评估其在适航性方面之条件,并确定其价值,且透过通告方式将该拆毁船舶之请求连同上述价值予以公布。
三、如向外交实体呈交申请书,经已履行上款最后部分之规定后,将有关卷宗交予澳门港务局。
第二十九条 (传呼债权人及利害关系人)
一、澳门港务局在收到卷宗或进行上条所指之检查后,须立即请求登记局发出有关船舶之权利、责任或负担之证明,且将之附入卷宗内,并在随后之两日内命令传唤债权人及其他利害关系人,使其能自作出有关传唤起十五日内就有关请求提出反对。
二、须以附收件回执之挂号信传唤已登录之债权人及已确定之利害关系人;如为不确定之利害关系人,则在澳门港务局张贴一份告示,并在本地区读者最多之其中一份中文报章及葡文报章上分别刊登两份公告,又或在接获拆毁船舶申请之外交实体所属国家读者最多之其中一份报章上刊登两份公告;不确定之利害关系人有为期三十日之中间期间。
三、申请人须预付传唤费用,否则有关程序不再继续进行。
第三十条 (债权人之反对及竞合)
一、如有人提出任何反对,澳门港务局局长根据第二十八条第二款所指之检查,决定应否拆毁有关船舶。
二、如裁定反对之理由不成立或无人提出反对,且澳门港务局局长批准拆毁船舶之申请,该船舶之所有人应获通知在十五日内将该船舶之估价金额存放于本地区之其中一间代理银行,并由有管辖权之法院支配,否则卷宗被归档处理。
三、作出存放后,卷宗被送往上款所指之法院,以便在作出程序之合并后,按照适用法律之规定进行支付一定金额之执行程序、传召债权人、对其债权予以审定、订定债权之受偿顺位及支付等程序。
四、澳门港务局局长在收到上款所指之卷宗后,命令将该船舶在其所停泊港口就地拆毁。
第三十一条 (在拆解船舶之情况下对债权人之保障)
如属拆解之情况,适用经必要配合后之第二十八条至第三十条之规定,但无需要作出第三十条第二款所指之存放;为保障债权人,船舶所有人在拆解完成后三十日内不得处分任何拆解物。
第三十二条 (拆毁或拆解船舶之笔录)
一、澳门港务局局长或进行拆毁或拆解船舶之港口之外交实体应缮立拆毁或拆解船舶之笔录;如笔录由外交实体作出,其应将该笔录送交澳门港务局,以便根据该笔录从海事登记中删除有关船舶之登录。
二、删除登录以船舶之拆毁或拆解之完成日期为准。
第三十三条 (若干手续之免除)
如所拆毁或拆解之船舶无机械推进装置且其总吨位等于或少于十吨者,应按照下列方式处理:
a.免除第二十九条及第三十条所定之手续;
b.无需作出上条所指之笔录,而仅以澳门港务局局长或外交实体之指示代替。
第三十四条 (为拆解而取得之浮动设备)
一、在本地区以外地方取得用以拆解之浮动设备,如经获经济司为此目的所作之处理,则无需在海事登记内作登录,亦不受以上数条规定之约束。
二、购买人应立即拆解浮动设备,并向澳门港务局局长申请准照以占用进行拆解之地方。
第三十五条 (因无音讯而删除登录)
一、已在海事登记内作登录之船舶两年内无音讯,澳门港务局局长应通知船舶之所有人以便调查其去向。
二、如船舶所有人在收到上款所指之通知后十五日内不作答复,则在澳门港务局张贴告示,以传召船舶所有人及其他利害关系人于十五日内提供其可能拥有之有用之证据资料,而中间期间为三十日。
三、如所定期限届满而仍未有人就有关程序提供资料,或所作出之新措施毫无结果,则缮立有关船舶失踪之确认笔录,并以此为据,命令删除在海事登记内之登录,而删除登录以有关笔录之完成日期为准。
第三十六条 (删除之撤销)
在上条所指之情况下,如船舶再度出现,澳门港务局局长须以笔录载明该事实,随后宣告删除无效,并在海事登记内作必要之附注。
第三十七条 (因丧失国籍而被删除登录)
在本地区登记之船舶依法更改国旗时,澳门港务局局长或船舶所停泊港口之外交实体应作出丧失国籍之笔录:如笔录由外交实体作出,其应将笔录送交澳门港务局局长,澳门港务局局长根据该笔录促使删除有关登录,而删除登录以丧失国籍之日期为准。
第三十八条 (在海事登记内之登录资料更新之期限)
一、拟作出本节所指之为更新登录资料而作出之任何措施,应在导致更新资料之事实发生后三十日内提出申请。
二、不遵守上款规定者,按第五章之规定予以处罚,并由澳门港务局局长依职权实施适当措施,相关费用由船舶所有人负责。
第三十九条 (在海事登记内之登录之通知)
澳门港务局应于五日内将所有按照适用法例装有无线电通讯设施之船舶在海事登记内之登录通知电讯当局。
第三节 船舶之认别资料
第四十条 (认别资料)
一、在海事登记内作登录之本地商船、渔船、辅助船及本地区之船舶,应透过下列方式予以认别:
a.认别资料组合;
b.名称。
二、在海事登记内作登录之不属上款规定范围之船舶,应透过下列方式予以认别:
a.海事登记编号;
b.名称。
第四十一条 (认别资料组合)
认别资料组合由下列资料组成:
a.认别私人船舶活动及其可作业范围之字母,或认别属本地区财产之船舶之字母;
b.在海事登记内之登录编号;
c.指出澳门为登记港口之字母M。
第四十二条 (识别船舶之活动范围或所有权实体之字母)上条a项所指之识别字母如下:
a.本地商船——TL
b.渔船:本地——PL沿海——PC远洋——PA
c.辅助船:本地——AL沿海——AC远洋——AA
d.本地区——MAC第四十三条 (在海事登记内之登录编号)一、海事登记编号是由澳门港务局在船舶作登录时给予之编号。
二、在海事登记内之登录编号为按自然顺序由“1”开始之整数。
三、无论船舶分类如何,在海事登记内之登录编号按自然顺序给予。
四、在任何取消登录之情况下,被取消之有关登记编号将不再用于原来或其他船舶。
第四十四条 (船舶之名称)
一、船舶之名称须经澳门港务局局长核准。
二、核准名称时应考虑下列事宜:
a.以一个单词组成之名称优先;
b.不容许有重复之名称或含恶意之名称;
c.可与现存之其他名称相区别。
三、船舶名称仅得在五年期间届满后方可修改,但更改船舶在海事登记内之登录之情况除外。
第四十五条 (拟在船舶上标示之标记)
一、任何船舶在进行海事登记前,均应标示本规章规定之标记。
二、标示在船舶上之标记如下:
a.在海事登记内之登录编号或认别资料组合;
b.名称;
c.登记港口;
d.船舶吃水标;
e.乾舷及载重线标记;
f.总吨位及净吨位。
三、乾舷及载重线标记之使用及标示,均须按照国际公约及适用法例之规定为之。
四、除上款所指之标记外,为尊重当地传统,澳门港务局局长得允许标示认为适宜保留之词之首字母缩写,但以不妨碍对船舶之认别为限。
第四十六条 (标记之标示)
一、在船舶上标示之标记应符合下列要件:
a.应可长期保留且清晰易辨;
b.应使用颜色与刻示标记处之底色成反差之油漆涂饰;
c.字样及数字之高度不少于一分米,阔度应合比例。
二、除上款之规定外,船舶吃水标尚应符合下列要件:
a.标记须标于船舶之右舷、左舷、船首柱及舵船尾柱,每隔一分米作出刻度,以高度为一分米之阿拉伯数字之偶数标示;
b.如属钢船,以镂刀刻示有关数字,如为木船,则雕刻有关数字;
c.第一数字之最底部分与其所指示之浸没点相符;
d.吃水标之零点应与船舶之龙骨底部相应,该龙骨假设以直线延伸;
e.如不能或难以在船首柱或舵船柱上标示,澳门港务局得许可在最接近正常位置之舷侧作标示;如船舶太长,尚可附带要求在船纵中线处作一刻度;
f.如刻度触及弯曲表面,则以相应于垂直尺之刻度标示。
三、在按照本节规定作出标示时可能出现之困难,由澳门港务局按个别情况解决。
第四十七条 (本地商船及本地辅助船使用之标记)
一、本地商船及本地辅助船应使用下列标记:
a.认别资料组合;
b.名称。
二、认别资料组合标示于两舷上端之船首弯处。
三、名称按照标示认别资料组合之相同方法标示在其下方。
第四十八条 (总吨位等于或少于二十吨之沿海商船及沿海辅助船使用之标记)
一、总吨位等于或少于二十吨之沿海商船及沿海辅助船应使用下列标记:
a.沿海商船使用在海事登记内之登录编号,其余船舶使用认别资料组合;
b.名称;
c.登记港口。
二、在海事登记内之登录编号或认别资料组合标示于两舷上端之船首弯处。
三、名称标示于:
a.按照标出在海事登记内之登录编号或认别资料组合之相同方法标示于上述任一者之下方;
b.船尾。
四、登记港口标示于船尾之船舶名称之下方。
第四十九条 (本地渔船及沿海渔船使用之标记)
一、本地渔船及沿海渔船应使用下列标记:
a.认别资料组合;
b.名称;
c.登记港口;
d.船舶吃水标。
二、认别资料组合、名称及登记港口按上条第二款、第三款及第四款所指之相同方法标示,而船舶吃水标则按第四十六条之规定标示。
三、总吨位等于或少于二十吨之本地渔船及沿海渔船仅具有第一款a项及b项所指之标示。
第五十条 (其余船舶使用之标记)
一、总吨位多于二十吨之沿海商船及沿海辅助船、以及远洋商船、远洋渔船及远洋辅助船均使用下列标记:
a.沿海商船及远洋商船应标示在海事登记内之登录编号,其余船舶则标示认别资料组合;
b.第四十五条第二款所指之其余标记。
二、在海事登记内之登录编号或认别资料组合应标示于船舶内之适当处,但远洋渔船除外,其编号或认别资料组合应标示于两舷上端之船首弯处。
三、名称应标示于:
a.两舷船首上端之舷侧;
b.船尾。
四、登记港口标示于船尾之船舶名称下方。
五、总吨位及净吨位标示主横梁或由丈量吨位之实体所指定以及在吨位证书上指出其他适当处。
第五十一条 (不遵守船舶应有标记规定之处罚)
一、如船长不按照本规章所定之条件保持船舶之标记,须受第五章所规定之罚款处分,并扣押有关船舶直至纠正不足或不符合规范之处。
二、如船长基于下列原因而更改船舶之标记者,不受上款规定之约束:
a.在战争时期因逃避敌人或向澳门港务局作出适当证明之其他不可抗力原因;
b.在进行与船舶结构有关之工作期间,而该等工作导致必须作出上述之更改。
第五十二条 (免除)
一、引航船舶、非用于运载货物或乘客又或无需护照之本地区船舶,以及所有免除登记之船舶,均不受第四十七条至第五十条之所规定约束。
二、澳门港务局局长得许可免除遵守第四十七条至第五十条所规定之若干义务。
第四节 国籍
第五十三条 (证据方法)
一、在包括公海之海事管辖范围内或外,船舶之国籍、目的地及航程正规性之证据方法如下:
a.旗帜;
b.船上文件。
二、如负载物之国籍未获适当证明,则船舶之国籍不涉及负载物之国籍。
三、以下两者为证明船舶国籍之必要证据,如不具备该等证据,船舶被视为劫掠物:
a.所有权之凭证;
b.船员册。
第五十四条 (国籍旗帜、其他旗帜及标志之使用)
一、船舶有权在下列条件下使用指明其国籍之旗帜:
a.在本地区登记之船舶,使用负责澳门对外关系之国家之旗帜;
b.使用船舶登记国之旗帜,但须具有证明该事实所需之船上文件,且在澳门港务局要求时必须出示之。
二、除本地商船、本地或沿海渔船、本地或沿海辅助船外,在本地区登记之船舶如靠泊本地区港口以及在本地区港口进出时,必须升挂负责澳门对外关系之国家之旗帜及船舶经营公司标志,此外,当船舶获提示正在朝向航行控制站时,亦须升挂其《国际信号规则》(葡文缩写为CIS)标志。
三、非在本地区登记之船舶如靠泊及进出本地区港口,必须升挂其国籍之旗帜,为此,港口引航员应提示该等船舶。
四、在下列情况下,船舶必须使用负责澳门对外关系之国家之旗帜:
a.进出任何港口;
b.在航行时与军舰相遇;
c.经过任何国家之领海、朝向信号站或要塞时被勒令指明其国籍,又或在有需要如此为之之时;
d.所有必须证明国籍之情况。
五、禁止在和平时期使用有别于负责澳门对外关系之国家之旗帜以证明国籍,澳门港务局局长或外交实体得命令降下及没收违法升挂之旗帜,并命令提起针对有关船长之纪律程序。
六、船舶之标志是升挂于船尾之负责澳门对外关系之国家之旗帜。
七、属于其他船舶之小船,得在港口内于船尾升挂主船之国籍旗帜。
八、澳门之船舶经营公司之标志,由澳门港务局核准及登记。
第五节 船上文件
第一分节 一般规定
第五十五条 (船上文件)
一、船上文件为:
a.所有权凭证;
b.船舶之登记折;
c.船员册;
d.适航证书;
e.一九七四年《国际海上人命安全公约》(SOLAS)安全证书;
f.国际载重线证书及国际乾舷免除证书或负载水线证书;
g.一九七三年《国际防止船舶造成污染公约》;(MARPOL)之国际证书;
h.救生设备查核证明书;
i.海员登记、登船记录及载员等适用法例所要求之证明书及其他文件;
j.海事无线电通讯适用法例所要求之证明书及其他文件;
l.起重设备安全证明书;
m.罗经校正证书;
n.航海日志;
o.吨位证书或《国际船舶吨位丈量公约》之国际吨位证书;
p.乘客名单;
q.载客量证书;
r.船上物品清册;
s.海事当局发出之结关单;
t.离港执照;
u.检疫部门发出之结关单;
v.载货申报单;
x.在本地区生效之国际公约及国际协定所要求之任何其他文件。
二、渔船尚须具备下列文件:
a.捕鱼准照;
b.适用之渔网特征证明书。
三、在本地区登记之船舶应于船上备有下列法规之副本:
a.《商法典》及关于船舶登记之法例;
b.关于海事犯罪之单行刑事法例;
c.海员登记、登船记录及配员之适用法例;
d.《国际信号规则》(CIS);
e.《海事活动规章》;
f.《国际海上避碰规则》。
四、下列船舶无须遵守上款之规定:
a.本地商船及本地渔船;
b.总吨位少于二十吨之沿海商船;
c.沿海渔船;
d.本地及沿海辅助船。
五、上述船舶应具备证明其国籍、所运载货物之国籍、目的地及航程正规性之船上文件,而沿海拖网渔船以及本地及沿海辅助船,应在船上备有《国际信号规则》,但不妨碍上款规定之适用。
六、本地区之船舶应具备与其属同类之私人船舶所需具备之船上文件及法规,但不妨碍适用第九款之规定以及有关登船记录、安全船员人数及海上无线电通讯等法规之规定。
七、如船舶无载客或载货,得免除关于乘客及货物之船上文件。
八、本条所指以外之应具备之其他船上文件,由训令规范。
九、在特别情况下,澳门港务局局长得免除本地区船舶具备第六款所指之某一或某些文件。
第五十六条 (船上文件保存)
一、船上文件应由船长拥有,并由其负责该等文件之安全及保存,但因法律规定又或因登记或使用上之需要而应长期放于船上其他地方之文件除外。
二、如在航程中遗失船上文件,船长应视乎首个停靠港是否澳门而立即将所发生之事实通知澳门港务局或外交实体。
第五十七条 (船上文件之出示)
一、如澳门港务局要求以及须向有权限之外国当局证明船舶国籍时,在本地区登记之船舶之船长须出示有关之船上文件。
二、非在本地区登记之船舶停泊在本地区港口时,如澳门港务局要求须出示船上文件。
第五十八条 (澳门港务局留存之船上文件)
如在本地登记之船舶之簿册或其他文件,又或已作登记之海员(以下简称“海员”)之文件集,基于工作原因而须留存于澳门港务局时,该等文件由证明该留存事实之声明书代替;澳门港务局局长须在该声明书上签名,并以澳门港务局之钢印认证及指明其有效期。
第二分节 船上文件
第五十九条 (所有权凭证)
所有权凭证系指由登记局发出之船舶所有权之登记证明书。
第六十条 (船舶登记折)
一、船舶登记折是指澳门港务局为船舶在海事登记内作登录后发出之文件。
二、船舶登记折由澳门港务局局长签署。
三、船舶登记折应至少载明下列资料:
a.在海事登记内之登录编号或认别资料组合;
b.船舶名称;
c.船舶分类;
d.吨位及特征尺度;
e.船舶尚有之视觉标志及无线电标志(呼号);
f.具适当认别资料之推进系统,如属帆船,则指明有关器具之名称。
四、船舶登记折之式样由训令订定。
五、如船舶登记折遗失或作废,则应船舶所有人之申请补发登记折,该所有人应在澳门港务局签署责任书。
六、仅可为法律所容许之目的而作船舶登记折之证明、认证缮本或影印本,并应注明仅对所规定之目的有效。
第六十一条 (适航证书)
一、适航证书是指澳门港务局经预先查核后正式声明船舶具备航行安全条件而发出之文件。
二、下列商船获免除适航证书,只要其具备根据《国际海上人命安全公约》之规定发出之安全证明书:
a.客船;
b.总吨位等于或多于五百吨之货船。
三、本地商船及本地或沿海辅助船之适航证书,应指明船舶配员,如属客船,尚应指明载客量。
四、本地渔船获免除第一款所指之证书。
第六十二条 (临时及特别适航证书)
一、外交实体经检查而认定下列船舶符合航行之必备条件后,得对该等船舶发出临时适航证书,但不妨碍国际公约规定之适用:
a.在本地区以外地方取得或建造以航行至本地区之船舶;
b.因处于本地区以外地方而使本身之适航证书未能于指定之有效期内续期之船舶。
二、上款所指之证书应附同检查报告之证明,为上款b项之效力而发出之证书由检查之日起计有效期最长为九十日。
三、在不妨碍适用国际公约规定之情况下,视乎情况而由澳门港务局局长或外交实体为进行特定航行之船舶发出特别适航证书,但须事先对船舶进行检查以证实其具备进行该种航行之条件。
四、确定、临时或特别适航证书均由训令规范。
第六十三条 (《国际海上人命安全公约》之安全证书)
一、《国际海上人命安全公约》之安全证书为:
a.客船安全证书;
b.货船建造安全证书;
c.货船设备安全证书;
d.货船无线电通讯安全证书;
e.核能客船安全证书;
f.核能货船安全证书;
g.豁免证明。
二、下列船舶获免除上款所指之证书:
a.本地商船;
b.渔船;
c.不具备机动推进装置之船舶;
d.总吨位少于五百吨之货船或原始结构之木船;
e.本地及沿海辅助船。
三、上数款之规定不妨碍采用日后根据《国际海上人命安全公约》而可能核准之所有其他证书。
四、第一款所指之《国际海上人命安全公约》之安全证书之式样及发出条件均由训令核准。
第六十四条 (国际载重线及乾舷免除证书)
一、国际载重线证书是指已按照一九六六年《国际船舶载重线公约》(LOAD LINES )之规定作检查及标示之船舶所获发之文件。
二、国际乾舷免除证书是指已按照上款所指之国际公约之规定而获免除之船舶所获发之文件。
三、下列船舶免除上两款所指之证书:
a.属本地区行政当局之船舶;
b.渔船。
四、第一款及第二款所指证书之式样及发出条件均由训令核准。
第六十五条 (《国际防止船舶造成污染公约》之国际证书)
一、《国际防止船舶造成污染公约》之国际证书为:
a.国际防止油污证书;
b.国际防止散装运输有毒液体物质污染证书;c.国际防止生活污水污染证书。
二、上款所指证书之式样及发出条件均由训令核准。
第六十六条 (救生设备检验证书)
一、救生设备检验证书系指具备国际公约及适用法例所要求之使用条件良好之救生设备之船舶所获发之文件。
二、具备《国际海上人命安全公约》安全证书之船舶无须具备上款所指证书。
第六十七条 (起重设备安全证书)
一、起重设备安全证书是指经检查符合适用法例所要求条件之船舶所获发之文件。
二、下列船舶获免除上款所指之证书:
a.本地商船;
b.渔船,但远洋渔船除外;
c.本地及沿海辅助船;
d.不具备起重设备之船舶。
第六十八条 (罗经校正证书)
罗经校正证书是指由澳门港务局发给已根据现行技术规定检查及校正罗经之船舶之文件。
第六十九条 (航海日志)
一、航海日志是记载以下事宜之船上簿册:
a.关于船舶航行之所有资料及事实;
b.记载按照其重要性或因法律规定而应载录之其他资料、事实及情事;
c.商法要求之所有事项。
二、下列船舶无须备有航海日志:
a.本地商船;
b.总吨位少于二十吨之沿海商船;
c.本地及沿海渔船;
d.本地及沿海辅助船。
三、如船舶以资讯方式控制及记录航行,澳门港务局局长得许可以该记录代替航海日志。
四、航海日志之式样由训令核准。
第七十条 (乘客名单)
一、乘客名单是指每次航行所运载之作为乘客之所有人士之正式名单,该名单应按照国际公约之规定发出。
二、航程不超过十二小时之属本地商船及沿海商船类别之客船,获免除上款所指之名单。
第七十一条 (载客量证书)
载客量证书是指发给客船以证明其得载运作为乘客之人士总数之文件。
第七十二条 (船上物品清册)
船上物品清册应载明商法所要求载明之事项。
第七十三条 (离港执照)
一、离港执照是指按照海关法例规定受税务结关手续约束之船舶所获发之文件。
二、下列船舶获免除离港执照:
a.本地商船;
b.本地及沿海辅助船。
第七十四条 (检疫部门发出之结关单)
一、检疫部门发出之结关单是指按照卫生法例之规定向船舶发出之文件。
二、下列船舶获免除上款所指之文件:
a.本地商船;
b.本地及沿海渔船;
c.不以本地区以外之港口作为目的地之远洋渔船;
d.本地及沿海辅助船。
第七十五条 (载货清单)
一、载货清单系指商法及国际公约规定具同样名称之文件。
二、本地商船、渔船及辅助船获免除上款所指之文件。
第三分节 海事当局发出之结关单
第七十六条 (结关单)
一、船舶离开澳门港口所需之由海事当局发出之结关单是指一份由澳门港务局局长签署之声明,用以证明船舶具备必要之安全条件及:
a.具备检疫部门发出之结关单,但仅以须具备者为限;
b.具备离港执照,但仅以须具备者为限;
c.齐备所有文件;
d.已缴纳港口费用及其他应向本地区缴付之费用;
e.具备《国际信号规则》复本,并已装设可发出该规则所指视觉及听觉信号所需之器具。
二、下列船舶获免除海事当局发出之结关单:
a.本地商船;
b.渔船,但远洋渔船除外;
c.本地或沿海辅助船;
d.水警稽查队及澳门港务局之船舶。
三、海事当局发出之结关单规定船舶须自结关之日起二十四小时内离开港口,但遇不可抗力之情况除外。
四、海事当局发出之结关单之式样载于成为本规章组成部分之附件五。
第七十七条 (非在本地区登记之船舶之结关单)
一、非在本地区登记之船舶之结关单应依据所呈交之文件而发出,而该等文件须能充分推定有关船舶具备必要之安全条件,且如有关国家与澳门之间有承认对方之有关法律及规章之互惠关系,该等安全条件须属被认定为符合有关国家之法例所规定者,如无上述之互惠关系,该等安全条件须属被认定为符合澳门法律所规定者;但不妨碍上条第一款及第三款规定之适用。
二、如属客船之情况,上款所指之文件应能等同于下列文件:
a.船员册;
b.客船安全证书;
c.乾舷标记证书;
d.过境乘客名单;
e.离船乘客名单;
f.将登船之乘客名单。
三、如属非客船之情况,第一款所指之文件应能等同下列文件:
a.船员册;
b.适航证书;
c.乾舷标记证书;
d.说明船上所存有之救生设备之救生设备证书或任何其他文件。
第七十八条 (向鉴定人求助)
一、澳门港务局局长得求助于其认为就向其呈交之文件作技术解释所需之鉴定人。
二、给予该等鉴定人之费用由有关船舶负责,并由船长或船舶经营人支付。
第七十九条 (已结关船舶之故障)
一、如已结关之船舶在进入本地区之任一港口时已发生故障或在港口内发生故障,其船长应亲身或透过航运代理公司将该事实通知澳门港务局。
二、澳门港务局应下令进行必要之紧急检查,并在有关船舶在检查中被认定具备安全条件后,方发出新结关单。
第六节 船舶及航行之安全
第八十条 (航行规定)
一、船舶受《国际海上避碰规则》约束。
二、船舶应遵照海图、本规章之规定以及航海通告及航标航行,锚泊或靠岸。
第八十一条 (澳门港务局对船舶及其运载之人及货物之安全所负之责任)
一、为确保船舶及其运载之人及货物之安全,澳门港务局负责采取其认为必要之措施,对船舶之建造、改建或使用予以监察。
二、为本条所指之效力,尤其当船舶在本地区以外地方之船厂进行建造或改建时,澳门港务局得认可船级社所作出之检验及监察。
三、根据本规章之规定,透过检查以检验及监察船舶之安全条件;在有需要时,澳门港务局或船级社视乎船舶之特征及其拟从事或所从事之活动,在检验及监察安全条件后发给各船舶所需之证书或其他文件。
第八十二条 (检查)
检查分为:
a.建造检查;
b.登记检查;
c.保养检查;
d.补充检查。
第八十三条 (建造检查)
一、建造检查应在船舶之建造或改建工作期间内及该等工作竣工后进行。
二、在本地区船厂建造之船舶,应接受下列之检查:
a.如建造工作已完成一半,即已安装船舶所有肋材或处于类似之建造阶段时,应进行首次检查;
b.在船舶下水前已装妥外壳并在涂漆前,应进行第二次检查;
c.任何建造工作中止或中断逾六个月者,须经预先检查以查核有关材料之状况是否容许工作继续进行后,方可重新开始工作。
第八十四条 (登记检查)
一、在下列情况下,应进行登记检查:
a.在海事登记内作登录之前;
b.因船舶分类之变更而更改在海事登记内之登录。
二、登记检查须透过有关船舶所有人呈交予澳门港务局局长之申请书为之,并附同建造检查之证明,但澳门港务局已缮立有关书录之情况除外,在此情况下,申请书仅须载明此事实。
三、登记检查应在澳门港务局局长指定之日期及时间内进行,以与船舶所有人协商定出者为优;检查结果应缮立于书状内,并在应有关请求时发出证明。
四、登记检查之报告书应至少载明下列资料:
a.船舶之登录与本规章第二章第三节之规定相符;
b.船舶与船舶所有人提供之指示相符,而该等指示为许可船舶建造或改建之依据,但仅以要求该许可之情况为限;
c.船体、桅杆及船具、推进器、辅机及人员住宿处之状况;
d.船舶之安全条件;
e.船舶是否在技术上符合关于船舶建造或改建之法律规定;
f.如属渔船,应载明鱼获之贮藏及保存设施之状况;
g.船员人数;如为客船,则指明载客量;
h.主机组及辅机之耗油量及功率。
五、第十七条第一款所指之船舶获免除登记检查,但澳门港务局应检查该等船舶是否符合其拟从事活动所需之条件。
六、如船舶所有人不同意有关决定,得申请进行检查。
第八十五条 (保养检查)
在不妨碍适用之国际公约规定之情况下,应按照澳门港务局局长订出之目的及周期性进行保养检查。
第八十六条 (补充检查)
一、在本地区港口进行之补充检查属澳门港务局之权限;如澳门港务局局长有理由怀疑某些于本地区登记之船舶在构成生命或海洋环境污染风险之情况下继续航行,则须进行补充检查。
二、如检查后证实船舶状况恶劣或具有指出之缺点,则检查费用由船舶所有人支付。
三、如认为船舶状况良好,则检验费用根据下列规定支付:
a.如有检举人,由该人支付;
b.如由澳门港务局局长依据职权命令进行检查,由本地区支付。
四、在本地区以外之港口进行之补充检查属领事当局之权限,并须遵守以上数款之规定。
第八十七条 (对非在本地区登记之船舶之补充检查)
一、在下列情况下,处于澳门港口内之在本地区以外地方登记之船舶得受补充检查:
a.如在本地区生效之国际公约适用于有关船舶,按照该等公约之条件进行补充检查;
b.澳门港务局局长基于具依据之理由认为有关船舶无法在不对生命或海洋环境污染构成危险之情况下继续航程时。
二、如属上款b项之情况,应将该事实告知有关国家之外交实体。
三、船舶所有人或其代理人得指定一名鉴定人参与检查,且如证实导致进行检查之理由充分,则应支付有关之检查费用。
第八十八条 (船长及其余船员在船舶安全方面所负之责任)
澳门港务局对船舶安全之职责,不免除船长作为对其主管船舶之安全之第一责任人,亦不排除其余船员在此方面之责任。
第八十九条 (船长对其船舶在港口内之安全及保护所负之责任)
一、当船舶停泊在澳门港口时,船长作为其船舶安全及保护之负责人,应采取一切预防措施以避免发生任何性质之危险,包括因天气及海洋之条件、火灾及抢劫等紧急情况所引致之危险。
二、为确保船舶本身之安全,且为知悉其他船舶发生之任何情事,停泊在港口内之船舶应有一名□望员在船上二十四小时值班,并以甚高频之安全频道进行监听。
第九十条 (澳门港务局局长在船舶及其运载之人及货物之安全方面之权限)
为确保船舶及其运载之人及货物之安全,澳门港务局局长有权限:
a.在因气象条件而导致海上交通出现危险之情况下,禁止或中止船舶出海、乘客登船,以及货物装卸;
b.公布可能对航行、港章、捕鱼或公共卫生造成损害之一切事实,并建议适当之措施;
c.在有需要时,登船检查并禁止不具最基本安全条件之船舶离港。
第九十一条 (澳门港务局局长在发生海难时之义务)
一、如海难对人命构成严重危险时,澳门港务局局长应:
a.在有需要时,征用属本地区之船舶,有关人员及物质;
b.向卫生当局通报有关灾难;
c.使用停泊在港口内且在本地区登记之船舶所能提供之一切资源;
d.在发现冲上本地区海滩或岸之尸体时,告知检察院。
二、如使用本地区之物质及人员,有关费用由被拯救之船舶之所有人、船长或受托人支付;如有合理理由,由本地区按照预先协定或服务收费表支付;如无预先协定或服务收费表,则由本地区按照澳门港务局局长所作之估价支付。
三、如使用属本地区之物质,而上级不免除有关费用,则须支付等同物质损害之金额,但财产获安全拯救之情况除外,在此情况下,本地区之船舶具有与私人船舶等同之权利。
第九十二条 (海上事故之简易调查)
一、如在海事管辖权范围内发生海上事故,澳门港务局局长应下令进行简易调查,以收集关于重要情节及事发原因之资料,从而定出避免再发生类似事故之安全措施。
二、上款所指之简易调查并不旨在查明责任,且独立于为该目的而进行之任何调查程序。
第九十三条 (海事当局人员之权限)
一、获任命进行海上事故简易调查之海事当局人员具有与负责确定事故责任之其他人员相同之优先权,并得自由查阅认为对海事安全具重要性之一切资料。
二、海事当局人员应根据国际海事组织及国际劳工组织之建议进行简易调查。
第九十四条 (船长在海上事故中之义务)
在本地区登记之船舶之船长,在其能力范围内且不对其船舶、船员或乘客构成严重危险之情况下具有下列义务:
a.对在海上处于危险之任何人提供救助;
b.为拯救有生命危险之人而对船舶提供所需之援助;
c.如得知有救助需要,须前赴拯救有生命危险之人;如无能力提供援助,而其他通讯站台未有回应所发出之求救信号,则应转发该求救信号;
d.船舶碰撞后,应向相撞之船舶,其船员及乘客提供必要之救助,并向彼等指出本身船舶之名称,登记港口及将停靠之最接近之港口。
第九十五条 (沉没或搁浅之船舶)
一、如船舶在海事管辖权范围内沉没或搁浅而对航行、港章或公共卫生构成损害,又或澳门港务局局长认为宜将之移走,则该等船舶之所有人或负责人应按所规定之紧急方式将有关船舶移走;如属在本地区以外地方登记之船舶,应将有关事实通知有关国家之外交实体。
二、如船舶被遗弃或船舶之负责人未于限定时间内移走有关船舶,澳门港务局局长应作笔录,其中载明下列资料:
a.船舶之认别资料;
b.船舶所有人之姓名;
c.如属非本地区登记之船舶,须载明其国籍;
d.主要特征;
e.货物性质;
f.船舶所处之位置及状况;
g.导致船舶沉没或搁浅之原因;
h.导致须移走船舶之原因;
i.船舶负责人就其未移走该船舶之原因作出之声明。
三、上款所指之笔录应连同澳门港务局局长就移走有关船舶所采用之方法及有关费用预算等方面作成之意见书,一并呈交上级以待最终决议。
四、应将第二款及第三款所指之事实通知船舶所有人或负责人,如属在本地区以外地方登记之船舶,则应将该等事实通知有关外交实体;
如未联络上船舶所有人或负责人,又或无外交实体,则在送交笔录之注记中载明该事实。
五、如为本地商船,本地渔船或本地辅助船,则免除送交第三款所指之笔录,并由澳门港务局局长采取措施,将有关船舶移走;如移走船舶之费用须由本地区负担,则应事先向上级请求许可。
第九十六条 (关于船舶安全、航行安全及捕鱼安全之其他规定)
一、任何船舶均不得系泊于标志浮标、航标或任何其他航标上。
二、如船舶将其渔网或渔具抛入海中之距离对已抛入海中之其他渔网或渔器造成损坏或妨碍捕鱼,则不得为之。
三、船舶基于不可抗力之原因而减轻全部或部分负载时,其船长应标示减轻负载之位置,并将之告知澳门港务局。
第九十七条 (通讯)
一、在本地区登记之船舶,不得使用《国际信号规则》以外之其他信号系统或信号代码与其他船舶、航空器、信号台、无线电报台或无线电话通讯台联络。
二、下列情况不受上款规定约束:
a.与尚未采用上款所指规则之国家之船舶、航空器、信号台或站、无线电报台或站,又或无线电话通讯台或站进行联络;
b.《国际海上人命安全公约》及《国际海上避碰规则》所规定之情况。
三、澳门港务局有权透过无线电、电报或信号发送或自处于海事管辖权范围内之船舶接收涉及总体利益或与该局执行本身职能有关之任何信息。
第九十八条 (焰火)
未经澳门港务局局长许可,禁止在海事管辖权范围内燃放爆竹、燃点焰火或作任何警报信号,但有需要求救之情况除外。
第七节 锚地、系泊及靠泊
第九十九条 (锚地)
一、锚地是指船舶可锚泊或系泊之港口区域,可分为下列类别:
a.商船用锚地;
b.渔船用锚地;
c.游船用锚地;
d.本地商船用锚地;
e.检疫用锚地;
f.运载爆炸品或易燃物品之船舶用锚地。
二、由澳门港务局局长负责订定锚地之类别及其范围。
三、可订定包含第一款所指之两类或两类以上锚地之混合式锚地。
第一百条 (船舶应锚泊、系泊或靠泊之条件)
一、鉴于澳门港口之安全条件,澳门港务局局长应指明船舶可停泊之地点,并确定何类船舶应采用下列停泊方式:
a.锚泊;
b.双锚泊(系泊);
c.在一个浮标上系泊;
d.使用船锚或浮标作船头及船尾系泊。
二、上款所指浮标之位置、形状、涂漆及配套设备均由澳门港务局局长订定。
三、进入港口之船舶应以不影响港口安全之方式停泊,并应遵守由澳门港务局局长为此目的而发出之指示。
四、船舶须在港口有关锚地之范围内或在澳门港务局局长指明之地点系泊或锚泊;未经澳门港务局局长许可,不得转换锚地或停泊地点。
五、商船仅得透过澳门港务局局长之许可在法律或告示规定以外之地点装卸货物。
第一百零一条 (停泊船舶或被系泊于浮标上或锚泊之其他船舶拖挂之船舶)
一、系泊于浮标上或用本身船锚锚泊之船舶,不得:
a.于船尾拖挂一艘以上之船舶,拖船长度应少于十四米;
b.于船舷系泊数量多于其锚链所能合理承受之船舶。
二、停泊或锚泊之船舶船长负责根据天气及水流情况调节起卸货物之船舶之数量。
三、如系泊或锚泊船舶之船长或其代理人,又或澳门港务局局长勒令其他船舶之船长将其船舶与前述船舶分开或驶离该等船舶,则该船长应紧急为之,但遇不可抗力之情况除外。
四、上款所指之由船长或其代理人作出之勒令,应在两名证人在场时为之。
五、在港口内,船舶应保持锚链互不绞缠及备有一可随时使用之船尾锚,一个系有下垂器之小锚及两条传递大索,该等器具均须状况良好及适合有关港口使用。
第一百零二条 (处于漂流、系泊松脱或危害其他船舶之船舶)
一、如船舶处于漂流,系泊松脱或危害其他船舶之情况下,应立即加强系泊、重新系泊或驶往不造成危害之地点或澳门港务局局长指定之地点。
二、如不采取上款所指之措施,澳门港务局应促使采取该等措施,并由有关船舶之负责人承担费用。
三、如某一船舶倒向另一船舶,而后者松开锚链便可避免受损,则应在无危险之情况下松开锚链;如不如此为之,则丧失因遭受之损害而获赔偿之权利。
第一百零三条 (锚链绞缠之船舶)
一、如船舶之锚链因不可归责于任何一方之事实而与其他船舶锚链绞缠,应互相协助对方进行船上操作,使锚链分开。
二、如因驾驶员之过错导致某一船舶抛锚不当而使锚链绞缠,则仅由该船舶进行使锚链分开之措施,或仅由该船舶负担有关费用。
第一百零四条 (具传递大索之船舶)
一、任何在正常天气情况下靠泊之船舶,均应接收由另一船舶因有需要而向其传递之一根或多根缆索,并有权就所遭受之不可归责于其本身之损害获得赔偿。
二、船舶互相靠泊者,不得以任何方式阻止或阻挠货物装卸之工作,通行或其他必需透过上述船舶进行之运输。
三、如为履行上款之规定而产生损害,应由被判定为责任人之一方负责赔偿。
四、如船舶已将传递大索系于其他船舶或岸上,而该缆索可能妨碍其他船舶航行,则仅得以最短时间继续使用该缆索以进行对船舶属必要之工作;如有需要方便其他船舶航行,应放松缆索,但仅以该操作不致对船舶造成损害为限。
五、根据上款所指条件而获方便航行之船舶,应采取必要之谨慎措施,以免对松弛之缆索造成损害,并须对所引致之损害负责。
第一百零五条 (人员在安全条件下登船)
一、所有在港口停泊之船舶,无论是靠泊、锚泊或系泊,均须具备确保人员安全登船之适当设施。
二、上款所指之设施包括:
a.阔度合适之舷梯或跳板,至少在其中一侧装有栏杆及扶手;
b.在舷梯或跳板下面安装能覆盖舷梯或跳板所占空间之保护网;
c.夜间使用之适当照明工具。
三、如所使用之舷梯或跳板具有连续沿围,得免除安装上款b项所指之保护网。
第一百零六条 (吊货杆)
一、船舶仅可在装卸货物时将吊货杆放于船舷外。
二、如并靠之船舶装卸货物,仅上述之经适当系泊之船舶得将吊货杆放于船舷外,并应在该等船舶起航前将之收回。
第一百零七条 (乘客之登船及离船)
如船舶将乘客运载至另一船舶或自该船舶接载乘客,仅可靠泊舷门,且有关船员在未获乘客所处船舶之船长,驾长或主驾驶准许之情况下不得登上该船。
第一百零八条 (其他船舶占用之靠泊处)
一、船舶拟靠泊于码头、船桥或舷门,而该处已被其他船舶占用,如前者未获许可靠泊后者,应等待后者离开该地点后方得靠泊。
二、如有多于一艘船舶须靠泊,客船优先;如有多于一艘客船靠泊,则按照抵达次序靠泊,但澳门港务局局长作出不同安排之决定时除外。
第三章 海中发现之物件
第一节 一般规定
第一百零九条 (海中发现之物件)
一、偶然在海上,海底发现任何无主物件,或偶然发现被海水冲上岸之任何无主物件,又或知悉上述物件所在位置者,应在四十八小时内将该事实告知任何警察当局或直接告知澳门港务局。
二、警察当局获告知发现物件之事实后,应在二十四小时内将该事实告知澳门港务局。
三、除有合理原因外,不在第一款所指期限内就发现物件之事实作出通知,导致丧失作为发现者之权利,且不妨碍尚有之民事及刑事责任。
第一百一十条 (被发现物之笔录)
一、接获关于被发现物或其位置所在之通知之实体,应缮立关于被发现物之笔录。
二、上述笔录应指明被发现物之性质及特征,发现地点、日期及时间,以及发现者身份资料。
三、缮立笔录之实体应保管被发现之物,如无法如此为之,则应确保以安全之方式存放该被发现物。
四、须将笔录之副本及存放被发现之收据交予发现者。
五、如笔录由警察当局缮立,其应立即将之送交澳门港务局。
第一百一十一条 (告示)
一、完成笔录后,澳门港务局局长应命令在澳门港务局张贴有关告示,告知有关权利人在不少于三十日之限期内提出索回。
二、如物件所有人或其法人代理人提出索回并证明其权利,则应将发现物交还该人。
第一百一十二条 (被发现物之估价)
一、为给予发现者应得之酬劳,澳门港务局应在上条第一款所指之期间届满后三十日内对被发现或被检获之物件估价。
二、估价由一名经澳门港务局局长委任之鉴定人进行,并应将估价结果通知发现者及物件所有人,如有后者,则须于十日内作出通知。
第一百一十三条 (对估价之分歧)
如物件所有人或发现者不接受对被发现物之估价,应自接获估价通知起十日内向澳门港务局呈交申请书,请求成立鉴定委员会。
第一百一十四条 (鉴定委员会)
一、如有物件所有人,委员会由三名鉴定人组成,分别由澳门港务局局长、物件所有人及发现者各委任一名。
二、如无物件所有人,委员会由三名鉴定人组成,澳门港务局局长及发现者各委任一名,第三名则由已获委任之两名鉴定人合意委任。
第一百一十五条 (发现者之权利)
一、如在海中发现物件,发现者有收取酬劳之权利,该酬劳是按照依第一百一十二条至第一百一十四条之规定对有关物件之估价予以计算。
二、酬劳之金额相当于被发现物价值之三分之一,视乎具体情况而由物件所有人或澳门港务局支付。
第一百一十六条 (物件所有人之义务)
一、如有被发现物之所有人,其须向发现者支付上条第二款所指之金额,并支付因该发现物而产生之一切费用,尤其是移走及保管该物之费用,否则不将该物退还予其所有人。
二、如未于九十日内缴付上款所指之金额,则所有人丧失对被发现物之权利,被发现物归本地区所有,但不妨碍发现者收取其应得之酬劳。
第一百一十七条 (对本地区有利之被发现物)
在海上、海底发现之物件,又或被发现之被海水冲上岸之物件,包括船舶、航空器或任何浮动设备之失事残骸,又或任一者之碎块、货物及设备之残余物等物件,如具有历史,艺术或科学价值,且不知谁为物件所有人,则该等物件成为本地区之财产,且受特别法例规范。
第二节 遗失之船锚
第一百一十八条 (概念及适用制度)
一、为适用本节之规定,“船锚”之含义包括船锚、锚、锚链、浮标、系泊用之重物,独横杆锚、小锚及铁钩。
二、本节未有特别规范之一切事宜,由上节规定中适用之部分规范。
第一百一十九条 (遗失之船锚)
一、如船舶遗失船锚,其船长应于第一百零九条规定之期限内向澳门港务局作出书面报告。
二、报告应指出:
a.船舶名称及其所有人之姓名;
b.遗失船锚之类型、重量及长度;
c.捆接锚链之直径;
d.尚有之独有标记;
e.有助于确定尚被发现之船锚谁属之其他说明。
三、报告应记录在澳门港务局之专门簿册内。
四、如未根据本条之规定报告船锚之遗失,则被发现之船锚视为本地区之财产。
第一百二十条 (打捞遗失船锚)
一、如任何船舶遗失船锚,船舶所有人或船长凭澳门港务局局长发出之准照得打捞该船锚,而澳门港务局局长应在作出上条第三款所指之记录后方批给上述准照。
二、打捞属本地区船舶之船锚无需任何准照。
三、负担打捞属本地区船舶船锚之有关费用者由上级决定。
第一百二十一条 (起锚时发现之船锚)
一、如船舶在起锚时连同其船锚起出另一船锚,而后者既非任何固定系泊之组件,亦非任何船舶用以系泊之船锚,则应将该事实通知澳门港务局。
二、澳门港务局局长收到通知后,应采取措施将船锚移至陆地,于未能立即移走该船锚时,应将之收回水底,并适当标记有关位置。
三、如有本地区之船舶适合于将船锚移至陆地或将之打捞,则由其为之,如无上述船舶,则由发现船锚者负责为之。
第一百二十二条 (打捞船锚时发现其他船锚)
如获发准照打捞某一船锚时偶然发现其他船舶,应将之交予澳门港务局,以便该局查核后一船锚是否已作登记及其所属,并作出适当处理。
第一百二十三条 (由他人发现之已登记船锚)
一、如已按照第一百一十九条第三款之规定登记之船锚为人所发现或捞获,而该人非船锚所有人或其法定代理人,则适用第一百一十二条至第一百一十四条之规定。
二、如船锚由本地区船舶发现或捞获,支付酬劳后剩余之收入归本地区所有。
第一百二十四条 (未登记之船锚)
为订定本地区应给予发现者之酬劳,第一百一十二条至第一百一十四之规定适用于第一百一十九条第四款所指之船锚。
第一百二十五条 (被遗弃之船舶)
如在海事管辖权范围内发现被遗弃、漂流或搁浅之船舶,应将该船舶交予:
a.船舶所有人或其代理人,但仅以在本地区登记之船舶为限,并支付尚有之因救援该船舶或确保其安全所需之费用;
b.财政司,但仅以不知谁为船舶所有人或属非在本地区登记之船舶为限。
第四章 关于船舶活动之特别规定
第一百二十六条 (无推进装置之船舶)
一、拖船是否得拖航无推进装置之船舶,取决于澳门港务局局长发出之年度准照。
二、发出准照前应进行检查,以便查核拖船与被拖航船舶是否均具备安全条件,尤其是机器功率、拖缆、航灯是否符合技术标准。
三、准照应记录每一船舶及拖船之船员。
四、如更换任一船舶或拖船,准照立即失效。
第一百二十七条 (气象)
气象部门应将其天气预报告知澳门港务局,并向其报告天气预测,以便澳门港务局局长在必要情况下对停泊于港口或拟离港之船舶采取其认为适宜之措施。
第一百二十八条 (存于船上之武器及弹药)
于船上存放武器及弹药,由特别法例规范。
第一百二十九条 (港口内工程使用之浮动设备)
一、属获判给本地区港口内工程之公司所拥有并在该等工程中使用之浮动设备,须受下列规范约束:
a.无须在海事登记内作登记即可使用;b.在航天安全方面,受澳门港务局管理;二、澳门港务局核查上款b项所指之安全条件,系指在开始使用之前进行检查,其仔细程度视乎船上文件及其有效期而定。
三、如检查结果满意,澳门港务局发出适航证书。
四、不论第一款所指之浮动设备是否已在海事登记内作登录,应向澳门港务局履行之负担均按照对已在海事登记内作登录之船舶之规定予以履行。
第五章 处罚制度
第一百三十条 (监察)
一、澳门港务局局长负责监察对本规章规定之遵守情况,并得由海事当局之人员执行。
二、在本规章明文规定之情况下,船级社亦得行使上款所指之权限。
第一百三十一条 (罚款)
违反本规章规定之违法行为受以下罚款处分,且不妨碍倘有之刑事、民事及纪律责任:
a.在下列情况下,科处船舶经营人或船舶所有人澳门币2000.00元至30000.00元之罚款;不按照第二章第三节之规定在船舶外部适当标示有关认别资料;
船舶不按照第二章第二节之规定在海事登记内作登录;
不遵守第三十八条之规定;
妨碍保养检查及补充检查之进行。
b.在下列情况下,科处船长澳门币1000.00元至30000.00元之罚款:
在按照船舶分类而定之航行范围以外航行;
不按照第二章第三节之规定保持在船舶上已作之标记;
被发现在航行时欠必备之船上文件,且未于四十八小时内将有关文件呈交澳门港务局;
不遵守第五十四条、第五十七条、第八十九条、第九十六条及第九十七条之规定;
被发现在航行时所具备之文件无效;
船舶不按照第二章第五节第三分节之规定办理结关手续而出海;
违反第二章第七节所载之规定。
c.在下列情况下,科处船长澳门币5000.00元至70000.00元之罚款:
不遵守第九十四条之规定;
因不遵守《国际海上避碰规则》而引起事故或导致第三人受损。
d.如违反第八十条之规定,科处船舶所有人澳门币5000.00元至30000.00元之罚款,科处船长澳门币2500.00元至15000.00元之罚款;
e.违反本规章其他规定者,科处澳门币500.00元至10000.00元之罚款。
第一百三十二条 (罚款之酌科)
罚款之酌科须考虑违法行为之严重性及违法者之过错。
第一百三十三条 (事故)
如违法行为造成事故或促成事故发生,第一百三十一条所定之金额增加至两倍。
第一百三十四条 (科处罚之权限)
科处本章规定之罚款属澳门港务局局长之权限。
第一百三十五条 (罚款之缴纳)
一、自通知处罚决定之日起三十日内缴纳罚款。
二、如未在上款订定之期限自愿缴纳罚款,则根据税务执行程序之规定,以处罚决定之证明作为执行名义,透过有权限之实体进行强制征收。
三、对罚款之科处,得向行政法院提起上诉。
第一百三十六条 (罚款额之待定)
就任何违反本规章或其他适用法例之违法行为提起之程序因未能定出罚款额而处于待决定状况时,澳门港务局局长可依职权或应其实体之请求禁止有船员参与违法行为之船舶离港,除非已提供银行担保或其他被视为适合之担保或押金,其金额为可科处罚款之最高限额加上可视为本地区债权之倘有之损害赔偿及其他费用。
第一百三十七条 (罚款之归属)
按照本规章之规定科处之罚款,悉数归本地区所有。
第六章 纪律制度
第一节 一般原则
第一分节 适用范围及候补规定
第一百三十八条 (适用)
一、本章所定之纪律制度适用于海员,但仅限于在履行职务之范围或由该等职务引致之事宜为限。
二、请求注销或中止海员登记并不终止因先前实施之违法行为而应负之纪律责任。
第一百三十九条 (候补性法律)
刑法及民事诉讼法候补适用于海员之纪律制度。
第二分节 船员
第一百四十条 (高级船员)
高级船员是指船员之最高职别,由船员册订明其地位及等级。
第一百四十一条 (船长)
一、船长职位系高级船员职别中之最高级别。
二、船长系船舶之船上或非船上船员及辅助人员在劳动合同生效期间之主管;在船舶灭失之情况下,该地位维持至有权限当局负起上指责任为止。
三、船长对于船员、辅助人员及在船上从事职业活动之非海员人士(以下称为“非海员”),以及对于乘客具有权威,得要求上述人士遵守船上纪律,确保船舶安全,照料所载货物及确保航程顺利进行。
第一百四十二条 (驾驶员)
一、驾驶员职位是在高级船员职别中仅次于船长之级别。
二、最高级别之驾驶员为船长之首席副手,直接接受船长之命令及指示,并将之转达予其他船员、辅助人员及非海员。
三、上款所指之驾驶员称为大副,船长得授予大副有关纪律,假期或其他船上工作之若干权限。
第一百四十三条 (中级船员)
中级船员是在等级上介乎于高级船员与基本船员之间之人员,其等级载于船员册。
第二节 义务
第一百四十四条 (一般义务)
一、一般义务为:
a.服从之义务;
b.热心之义务;
c.保密之义务;
d.有礼之义务;
e.勤谨之义务;
二、服从之义务,是指尊重及遵守正当上级在工作之执行及纪律方面发出之命令。
三、热心之义务,是指以有效之方式及尽心之态度执行职务,特别在危险及紧急情况下,尤其要了解一般规定及规章规定以及上级之指示,具备及增进工作知识,掌握及改善工作方式,热心于妥善保养及使用船舶,以及尽力保护船舶所运载者。
四、保密之义务,系指不泄漏关于船上组织及工作方法之消息,但应向有权限实体提供之消息不在此限。
五、有礼之义务,是指以尊重、有教养及忠诚之态度对待船舶经营人、上级、同事及在船上之其他人或与船舶接触之其他人。
六、勤谨之义务,是指正常及持续地上班工作。
第一百四十五条 (船长对当局及战舰之义务)
一、在港口内,船长应尊重海事当局,警察当局、外交实体及海关实体之命令,并应考虑引航员就锚地、船舶活动、进出港口及在港口内航行等方面之指示。
二、在和平时期,船长应遵守任何战舰得要求其遵守之关于承认船籍之法律;如战舰显示其国家旗帜时,船长应为以上目的的立即命令升挂负责澳门对外关系之国家之旗帜,并就对方提出之问题确实回答。
三、在和平时期,如任何战舰勒令登船检查,船长不应以暴力反抗,但进行检查之高级船员登船时,船长可对该行为提出抗议,并随后要求对方检查原因、地点及进行检查之情节等记录在航海日志内。
四、船长亦应将上款所指之有关检查事实记录于航海日志内,并应在其海事报告中指出。
第一百四十六条 (礼仪方面之义务)
一、在战舰所处之港口,船舶升降旗帜应与战舰之旗帜变动相配合。
二、船舶应向航行中或停泊于港口内之战舰敬礼,即缓缓降旗,并在对方回礼后重新升旗。
三、如高职位之公共当局官员登船,船长应在舷门迎接及陪同,并以适当之恭敬态度接待。
四、如有权使用特别标志之任何实体以官方形式登船,应于适当处悬挂该标志。
五、海上船舶不应在五百米内横过战舰之船头,亦不应穿过海军船舰之例队,并应避免妨碍港口内战舰之航行。
第一百四十七条 (在危险情况下之义务)
一、船长及其余船员应经常保持冷静并维持船上纪律,特别在发生危险或事故之情况下,且尽其所能透过任何方法避免乘客之行为妨碍救生措施或其他应付有关情况属适当之措施。
二、如因海难或其他事件而必须弃船,船长应尽其所能采用一切方法维持秩序,拯救船上人员,并采取措施将船上文件及重要物件放于安全处;让病人、伤者、女孺首先离船,随后让其余乘客,非海员离船,而船员则最后离船。
三、在上款所指情况下,船长必为最后离船者;如已弃船,船长应尽其所能使用一切方法将乘客、非海员、船员及获救者带领至最适当处。
四、在以上数款情况,船长应命令作出事件笔录及缮立海事报告,并将该等文件呈交有权限当局。
第一百四十八条 (对难民及非法乘客之义务)
一、禁止船长庇护因犯罪而被当局追缉之人。
二、船长在航行时发现船上有非法乘客,如船舶即将进入之港口为澳门,应将之交予澳门港务局;如船舶即将进入之港口为本区以外之港口,则按照外交实体之指示处理之。
第三节 纪律责任
第一百四十九条 (纪律惩戒权之约束)
一、海员对其作出之违纪行为应在纪律方面向其上级负责,且不妨碍刑事责任。
二、船舶之船长应在纪律方面向澳门港务局局长或外交实体负责。
第一百五十条 (违纪行为)
一、违纪行为是指以作为或不作为之方式,有过错地违反本章或其他适用规定所定之一般或特别义务。
二、不论有否造成损害,违反义务者应受处罚。
三、如发生可导致纪律责任之事实,有权限实体获悉该等事实并认为该等事实可导致纪律责任,应命令提起有关程序。
第一百五十一条 (上级之责任)
如下级所作之违纪行为由上级所作之其他违纪行为引致或由上级所发出之命令引致,则上级对下级之违纪行为负责。
第四节 纪律程序
第一百五十二条 (时效)
一、纪律程序之时效,自作出违纪行为之日起经过三年完成。
二、如违纪行为同时构成刑事不法行为,而刑事程序之时效期间为三年以上者,则适用刑事程序之时效期间。
三、时效属依职权知悉。
第一百五十三条 (获悉违纪行为)
上级在下级作出违纪行为时在场或获悉该违纪行为应缮立笔录,并载明一切与该违纪行为有关之情节;如该上级无权限提起纪律程序,则应立即将该笔录送交有权限提起纪律程序之实体。
第一百五十四条 (程序之免除)
科处书面申诫处分无须提起程序,但应预先对违纪人进行听证;违纪人得于四十八小时内提交书面答辩。
第一百五十五条 (程序之保密性)
一、在提出控诉之前,纪律程序具保密性,但在不公开卷宗内容之条件下,嫌疑人可查阅卷宗。
二、在程序之任何阶段,如透过指明用途之申请书请求发出证明,而该等证明是用作辩护或维护正当利益,则预审员得许可发出证明。
第一百五十六条 (无偿性)
纪律程序属无偿之程序。
第一百五十七条 (无效)
以下情况构成不可补正之无效:
a.未对嫌疑人进行听证;
b.用以查明真相之任何主要措施有缺漏或该缺漏影响嫌疑人之辩护保障。
第五节 纪律处分
第一百五十八条 (处分等级)
一、对作出违纪行为之海员所科处之处分为:
a.书面申诫;
b.罚款;
c.停职;
d.禁止执行职务;
二、处分必须记录于海员登记证内,并仅处开始执行处分之日起产生法律明文规定之效力。
三、第一款c项及d项所指之处分,在违纪人收到科处处分之通知后翌日开始执行。
第一百五十九条 (罚款)
一、罚款处分以确定金额定出且不得超过三十日薪俸之相应金额。
二、如受罚款处分之嫌疑人未于接获通知日起三十日内缴付罚款,则根据税务执程序之规定,以判决批示之证明作为执行名义,透过有权限实体进行强制征收。
第一百六十条 (停职)
一、停职处分是指暂时终止从事有关职业,并于处分期间中止海员登记。
二、停职处分之期间视乎违纪行为之严重性而定,最短为六个月,最长为两年。
第一百六十一条 (禁止执行职务)
禁止执行职务之处分是指确定终止从事有关职业,并注销海员登记。
第一百六十二条 (处分之时效)
处分之时效,自裁定成为不可上诉之载定之日起,经过下列期间完成:
a.书面申诫及罚款之处分,六个月;
b.停职处分,三年;
c.禁止执行职务处分,五年。
第六节 处分之科处
第一百六十三条 (一般原则)
一、处分是按照违纪行为之严重性及后果而科处,并应考虑不法事实之有关情节,违纪人之品格及有关工作之重要性。
二、不得对每一违纪行为科处多于一项之纪律处分。
第一百六十四条
一、书面申诫处分适用于不造成损失之轻微违纪行为。
二、罚款处分适用于过失或对职责义务理解不足之情况。
第一百六十五条 (停职)
停职处分适用于在履行职务上义务时有过错可漠不关心之情况。
第一百六十六条 (禁止执行职务)
禁止执行职务处分一般适用于严重性及过错程度引致不能维持海员职业之违纪行为,尤其适用于所作出之违纪行为同时属于犯罪且因此而被判处两年以上徒刑之海员。
第一百六十七条 (处分之中止)
一、如根据违纪人之品格、生活条件、在受处分之事实发生时、后之行为,以及该事实之情节,结论出对该事实之谴责以及处分之威慑足以达到对违纪行为进行防范及责难之目的,得中止执行纪律处分。
二、中止期间最短为一年,最长为三年,自嫌疑人获通知有关裁定之日起计。
三、如海员在中止处分期间因任何违纪行为而再受处分,应废止该中止。
第七节 纪律惩戒权限
第一百六十八条 (纪律惩戒权限)
一、具纪律惩戒权限者为:
a.澳门港务局局长,但仅以船舶停泊澳门港口为限;
b.外交实体,但仅以船舶停泊在本地区以外之港口为限。
二、不论船舶停泊何地,船长得于任何情况下科处申诫处分,且应尽快视乎情况而将有关情事通知澳门港务局局长或外交实体,且不妨碍上款规定之适用。
第一百六十九条 (纪律程序)
一、船舶之船长负责提起纪律程序;
二、如违纪人为船长,则由澳门港务局局长或外交实体负责提起纪律程序。
第八节 纪律程序
第一百七十条 (预审员)
一、如收到第一百五十三条所指之笔录或获悉违纪行为之实施,有权限提起纪律程序之实体应立即提起纪律程序,并委托一名预审员,该预审员须在五日内展开预审。
二、预审员应将开始程序之预审阶段之日期通知对其作出委任之实体及嫌疑人。
第一百七十一条 (程序之预审阶段)
一、程序之预审阶段包括一系列简易调查及措施,目的是查明是否存在违纪行为、确定其行为人及其责任,并搜集一切有助作出具体依据之裁定之证据。
二、预审员须依职权采取上款所指简易调查所需之一切措施,包括听取举报人及其就每一事实指出最多三名证人之声明;在预审员认为有需要时,听取数目不限之其他证人之声明,进行检查及采取其他证明措施,并将海员登记证之副本附于笔录内,以便查核嫌疑人之纪律纪录。
三、预审员必须于预审结束前听取嫌疑人之声明,并得安排其与证人或举报人对质。
四、嫌疑人行使辩护权时,得向预审员申请采取其权限所及且认为对查明真相具重要性之措施。
五、如预审员认为已有足够证据而以说明理由之批示声明上示所指之申请纯属拖延性质时,方得驳回该申请。
六、须在澳门以外地方采取之措施,得以公文,电报、电传电报或图文传真等方式向当地有权限之行政当局或警察当局提出有关要求。
七、如嫌疑人被指无职业能力,预审员得要求嫌疑人按两名合资格之人设计之方案执行工作,并由该两人判定所进行之测试及嫌疑人之能力。
八、上款所指之合资格之人须由提起纪律程序之实体指定。
第一百七十二条 (保全措施)
预审员自获委任之日起有权限为搜集证据而采取保全措施,尤其命令扣押物品及保存与违纪行为有关之线索。
第一百七十三条 (防范性停职)
作为纪律程序中之嫌疑人之海员,如涉及之违纪行为可被科处停职或禁止执行职务之处分,且其在职对工作或对查明真相造成不便,经预审员或提起纪律程序之实体建议并视乎有关情况而透过由澳门港务局局长或外交实体作出之批示,嫌疑海员得被命令防范性停职,直到就程序作出最后裁定为止,但停职期间不得超过九十日。
第一百七十四条 (归档或控诉)
一、作出第一百七十一条所指之措施后,如预审员认为笔录所载事实不构成违纪行为、嫌疑人并非为违纪人,又或因时效或其他原因而不得追究纪律责任,则应于十日内编制报告,连同卷宗立即送交提起纪律程序之实体,并建议将之归档。
二、如不具上款所指之前提,预审员须于十日内作出控诉批示,批示中应详述嫌疑人之身份资料、所归责之事实、作出该等事实之情节、所违反之法律规定及所适用之处分。
第一百七十五条 (对嫌疑人之通知)
一、应将起诉书通知嫌疑人,并规定在十日至二十日内提交书面答辩。
二、如遇合理障碍之情况,预审员得允许在所定期限届满后提交书面答辩。
第一百七十六条 (查阅卷宗及提出辩护)
一、在提出辩护之期限内,嫌疑人得查阅卷宗。
二、在书面答辩中,应简明地陈述支持答辩之事实及理由,嫌疑人应提出证人名单,将文件载于书面答辩内及要求采取证明措施。
三、为产生一切法律效力,不在指定期限内答辩,视作已对嫌疑人进行实际听证。
第一百七十七条 (调查嫌疑人所提供之证据)
一、预审员应讯问证人,并命令于二十日内调查嫌人所要求之其他证据资料。
二、在调查嫌疑人所提出之证据后,预审员仍得为查明真相而命令采取必要之新措施。
第一百七十八条 (报告)
完成程序之预审阶段,并将嫌疑人之海员登记证载入卷宗后,预审员须在十五日内编制一全面而简明之报告,载明与违纪行为有关之事实,该等事实之定性及严重性、倘有之须退回之款项、该等款项之归属,以及认为合理之处分或因指控不成立而建议将卷宗归档。
第一百七十九条 (裁定)
一、有权限实体在分析有关卷宗后,得于十日内命令在指定时间内采取补足之证明措施。
二、就卷宗所作之裁定,须明确指出事实依据及法律依据,并须自接获卷宗之日起或自采取补足证明措施之期限届满时起二十日内作出。
第一百八十条 (裁定之通知)
应根据第一百七十五条之规定就裁定作出通知。
第九节 专案调查
第一百八十一条 (提起及预审)
一、如违纪行为不具体或不知谁为违纪人,第一百六十八条所指之实体得命令展开专案调查。
二、专案调查系一项简易调查程序,目的系查明在船舶上倘有之对船舶、航行、乘客或货物造成危险之违纪行为或不当情事。
三、专案调查应于专案调查员获委任后二十四小时内展开,并应于十日内完成。
第一百八十二条 (报告)
专案调查之期限届满后,专案调查员应作出说明理由之报告,视乎其是否认为存在违纪行为之明显迹象而建议提起纪律程序或将卷宗归档。
第一百八十三条 (适用制度)
未有特别规定之与专案调查有关之一切事宜,按适用于纪律程序之规定处理。
第七章 最后规定
第一百八十四条 (手续费)
根据本规章之规定提供服务,发出文件及在海事登记内作登记之程序所需之手续费,按澳门港务局之手续费总表定出之金额征收。
第一百八十五条 (上诉)
对澳门港务局局长之处罚裁定,得按一般规定提起司法上诉。
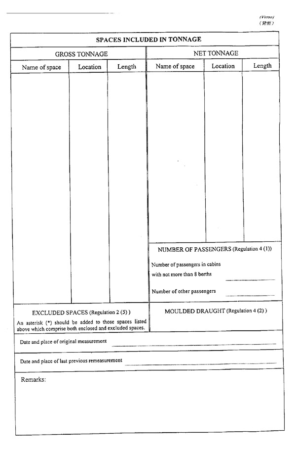
附件一
不受一九六九年《国际船舶吨位丈量公约》(TONNAGE)约束之船舶之总吨位及净吨位计算规则
A部分
一般方法
不受一九六九年《国际船舶吨位丈量公约》约束之船舶之总吨位(GT)及净吨位(NT)按照该公约附件之规定计算。
B部分
简化方法
一、计算总吨位及净吨位简化方法,得适用于垂线间长度短于二十四米之船舶,但以澳门港务局接受其计算结果为限。
二、如使用简化方法,则按下列公式计算船舶之总吨位(GT)和净吨位(NT):
GT=(V1+V2)×K1
V1=L×B×P×C
其中:
V1指上层甲板以下之船体容积,以立方米作为单位:
L指公约第二条(8)所定出之垂线间之长度,以米作为单位;
B指公约规则二(3)所定出之最大阔度,以米作为单位;
P指公约规则二(2)(a)所定出之建造舷高,以米作为单位;
C系为每类船舶所定出之常数:
1.帆船:0.56;
2.船体庞大之趸船及大驳船:0.84;
3.平行六面形之趸船:1;
4.其余船舶:0.70。
V2指上层甲板以上之一切密封空间之总体积,以立方米作为单位,但不包括公约规则二(5)所指之空间容积:
K1指等于0.25之常数。
NT=0.03×GT
三、应船舶经营人之请求,得按照A部分之规定计算总吨位及净吨位,但须为此请求提出适当之合理解释。











