![]() |
|
||
|
|
|||
2003年內地遊客赴澳旅遊變化趨勢研究
李向玉 孔小文*
一、旅遊成為內地居民的消費熱點
┌────┬───────┬───────┬──────┬──────┐ │ 年份 │ GNP(億元) │ GDP(億元) │人均GDP(元) │平均工資(元)│ ├────┼───────┼───────┼──────┼──────┤ │ 1995 │ 57,494.9 │ 58,478.1 │ 4854 │ 5500 │ ├────┼───────┼───────┼──────┼──────┤ │ 1996 │ 66,850.5 │ 67,884.6 │ 5576 │ 6210 │ ├────┼───────┼───────┼──────┼──────┤ │ 1997 │ 73,142.7 │ 74,462.6 │ 6054 │ 6470 │ ├────┼───────┼───────┼──────┼──────┤ │ 1998 │ 76,967.2 │ 78,345.2 │ 6307 │ 7479 │ ├────┼───────┼───────┼──────┼──────┤ │ 1999 │ 80,579.4 │ 82,067.5 │ 6547 │ 8346 │ ├────┼───────┼───────┼──────┼──────┤ │ 2000 │ 88,189.6 │ 89,403.6 │ 7078 │ 9371 │ ├────┼───────┼───────┼──────┼──────┤ │ 2001 │ 94,346 │ 95,933 │ 7500 │ 10870 │ └────┴───────┴───────┴──────┴──────┘ |
二、出境遊迅速升溫
┌─────┬───┬───┬────┬────┬───┬────┬────┐ │ 年份 │ 1995 │ 1996 │ 1997 │ 1998 │ 1999 │ 2000 │ 2001 │ ├─────┼───┼───┼────┼────┼───┼────┼────┤ │旅遊總人次│ 6.29 │ 6.39 │ 6.44 │ 6.94 │ 7.19 │ 7.44 │ 7.84 │ │ (億人次) │ │ │ │ │ │ │ │ └─────┴───┴───┴────┴────┴───┴────┴────┘ |
┌───────────┬───────────┬───────────┐ │ 因公出境 │ 因私出境 │ 合計 │ ├──────┬────┼──────┬────┼──────┬────┤ │ 人数 │增長率%│ 人数 │增長率%│ 人数 │增長率%│ ├──────┼────┼──────┼────┼──────┼────┤ │ 518.77 │ 7.2 │ 694.54 │ 23.3 │ 1213.31 │ 15.9 │ └──────┴────┴──────┴────┴──────┴────┘ |
三、內地大陸旅遊者赴澳門旅遊現狀及影響因素分析
┌────────┬─────┬──────┬──────┬─────┐ │ 年份 │ 1998 │ 1999 │ 2000 │ 2001 │ ├────────┼─────┼──────┼──────┼─────┤ │ 人數(萬人次) │ 81.68 │ 164.52 │ 227.47 │ 300.57 │ ├────────┼─────┼──────┼──────┼─────┤ │人均消費(澳門元)│ 2796 │ 2661 │ 2401 │ 2605 │ └────────┴─────┴──────┴──────┴─────┘ |
┌───────┬─────┬─────┬─────┬─────┐ │ 年份 │ 1990年 │ 1995年 │ 2000年 │ 2001年 │ ├───────┼─────┼─────┼─────┼─────┤ │港澳遊(萬人次)│ 23.19 │ 28.67 │ 86.07 │ 67.93 │ └───────┴─────┴─────┴─────┴─────┘ |
四、2003年內地旅遊者赴澳門旅遊人數趨勢預測

┌────┬───────┬──────┬───────┬──────┐ │ 年份 │居民出境總人數│ 增長指數 │內地赴澳門旅遊│ 增長指數 │ │ │ (萬人次) │ │ 人數(萬人次) │ │ ├────┼───────┼──────┼───────┼──────┤ │ 1995 │ 713.90 │ 108.50 │ 54.32 │ 221.44 │ ├────┼───────┼──────┼───────┼──────┤ │ 1996 │ 758.82 │ 106.29 │ 60.42 │ 111.23 │ ├────┼───────┼──────┼───────┼──────┤ │ 1997 │ 817.54 │ 107.74 │ 52.79 │ 87.04 │ ├────┼───────┼──────┼───────┼──────┤ │ 1998 │ 842.56 │ 103.06 │ 94.28 │ 178.59 │ ├────┼───────┼──────┼───────┼──────┤ │ 1999 │ 923.24 │ 109.58 │ 164.52 │ 138.92 │ ├────┼───────┼──────┼───────┼──────┤ │ 2000 │ 1047.26 │ 113.43 │ 228.55 │ 138.92 │ ├────┼───────┼──────┼───────┼──────┤ │ 2001 │ 1213.31 │ 115.80 │ 298.14 │ 130.45 │ ├────┼───────┼──────┼───────┼──────┤ │ 2002 │ 1333.79 │ 109.93 │ 424.33 │ 142.33 │ └────┴───────┴──────┴───────┴──────┘ |

圖1 內地赴澳旅遊趨勢圖


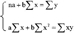
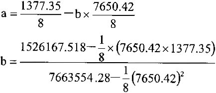
┌─────┬──────┬──────┬────────┬────────┐ │ 年份 │出境總人数X │ 旅遊人數Y │ X2 │ XY │ ├─────┼──────┼──────┼────────┼────────┤ │ 1995 │ 713.90 │ 54.32 │ 509224.96 │ 38779.048 │ ├─────┼──────┼──────┼────────┼────────┤ │ 1996 │ 758.82 │ 60.42 │ 575807.79 │ 45847.9044 │ ├─────┼──────┼──────┼────────┼────────┤ │ 1997 │ 817.54 │ 52.79 │ 668371.65 │ 43157.9366 │ ├─────┼──────┼──────┼────────┼────────┤ │ 1998 │ 842.56 │ 94.28 │ 709907.35 │ 79436.5568 │ ├─────┼──────┼──────┼────────┼────────┤ │ 1999 │ 923.24 │ 164.52 │ 852372.10 │ 151891.445 │ ├─────┼──────┼──────┼────────┼────────┤ │ 2000 │ 1047.26 │ 228.55 │ 1096753.51 │ 239351.273 │ ├─────┼──────┼──────┼────────┼────────┤ │ 2001 │ 1213.31 │ 298.14 │ 1472121.16 │ 361736.2434 │ ├─────┼──────┼──────┼────────┼────────┤ │ 2002 │ 1333.79 │ 424.33 │ 1778995.76 │ 565967.1107 │ ├─────┼──────┼──────┼────────┼────────┤ │ 合計 │ 7650.42 │ 1377.35 │ 7663554.28 │ 1526167.518 │ │ │ │ │ │ │ └─────┴──────┴──────┴────────┴────────┘ |

┌────┬─────┬────┬──────┐ │ 月份 │ 人數 │ 月份 │ 人數 │ ├────┼─────┼────┼──────┤ │ 一 │ 270457 │ 七 │ 348945 │ ├────┼─────┼────┼──────┤ │ 二 │ 299526 │ 八 │ 387631 │ ├────┼─────┼────┼──────┤ │ 三 │ 303395 │ 九 │ 337711 │ ├────┼─────┼────┼──────┤ │ 四 │ 356031 │ 十 │ 381650 │ ├────┼─────┼────┼──────┤ │ 五 │ 356951 │ 十一 │ 445038 │ ├────┼─────┼────┼──────┤ │ 六 │ 284148 │ 十二 │ 468963 │ ├────┼─────┼────┼──────┤ │ 合計 │ │ │ 4240446 │ └────┴─────┴────┴──────┘ |

┌───┬──┬──────┬─────────┬───┬────────┐ │ 月份 │ T │ Y │ TY │ t2 │ Yc │ ├───┼──┼──────┼─────────┼───┼────────┤ │ 1 │-11 │ 270,457 │ -2,975,027 │ 121 │ 274,405.24 │ ├───┼──┼──────┼─────────┼───┼────────┤ │ 2 │ -9 │ 299,526 │ -2,695,734 │ 81 │ 288,762.56 │ ├───┼──┼──────┼─────────┼───┼────────┤ │ 3 │ -7 │ 303,395 │ -2,123,765 │ 49 │ 303,119.88 │ ├───┼──┼──────┼─────────┼───┼────────┤ │ 4 │ -5 │ 356,031 │ -1,780,155 │ 25 │ 317,477.20 │ ├───┼──┼──────┼─────────┼───┼────────┤ │ 5 │ -3 │ 356,951 │ -1,070,853 │ 9 │ 331,834.52 │ ├───┼──┼──────┼─────────┼───┼────────┤ │ 6 │ -1 │ 284,148 │ -284,148 │ 1 │ 346,191.84 │ ├───┼──┼──────┼─────────┼───┼────────┤ │ 7 │ 1 │ 348,945 │ 348,945 │ 1 │ 360,549.16 │ ├───┼──┼──────┼─────────┼───┼────────┤ │ 8 │ 3 │ 387,631 │ 1,162,893 │ 9 │ 374,906.48 │ ├───┼──┼──────┼─────────┼───┼────────┤ │ 9 │ 5 │ 337,711 │ 1,688,555 │ 25 │ 389,263.80 │ ├───┼──┼──────┼─────────┼───┼────────┤ │ 10 │ 7 │ 381,650 │ 2,671,550 │ 49 │ 403,621.12 │ ├───┼──┼──────┼─────────┼───┼────────┤ │ 11 │ 9 │ 445,038 │ 4,005,342 │ 81 │ 417,978.44 │ ├───┼──┼──────┼─────────┼───┼────────┤ │ 12 │ 11 │ 468,963 │ 5,158,593 │ 121 │ 432,335.76 │ ├───┼──┼──────┼─────────┼───┼────────┤ │ 合計 │ 0 │ 4,240,446 │ 4,106,196 │ 572 │ 4,240,446.00 │ └───┴──┴──────┴─────────┴───┴────────┘ |

┌────┬──────────┬─────────┐ │ 月份 │ 各月預測人数 │ 逐月累加人数 │ ├────┼──────────┼─────────┤ │ 一 │ 446,693.08 │ 446,693.08 │ ├────┼──────────┼─────────┤ │ 二 │ 461,050.40 │ 907,743.48 │ ├────┼──────────┼─────────┤ │ 三 │ 475,407.72 │ 1,383,151.20 │ ├────┼──────────┼─────────┤ │ 四 │ 489,765.04 │ 1,872,916.24 │ ├────┼──────────┼─────────┤ │ 五 │ 504,122.36 │ 2,377,038.60 │ ├────┼──────────┼─────────┤ │ 六 │ 518,479.68 │ 2,895,518.28 │ ├────┼──────────┼─────────┤ │ 七 │ 532,837.00 │ 3,428,355.28 │ ├────┼──────────┼─────────┤ │ 八 │ 547,194.32 │ 3,975,549.60 │ ├────┼──────────┼─────────┤ │ 九 │ 561,551.64 │ 4,537,101.24 │ ├────┼──────────┼─────────┤ │ 十 │ 575,908.96 │ 5,113,010.20 │ ├────┼──────────┼─────────┤ │ 十一 │ 590,266.28 │ 5,703,276.48 │ ├────┼──────────┼─────────┤ │ 十二 │ 604,623.60 │ 6,307,900.08 │ ├────┼──────────┼─────────┤ │ 合計 │ 6,307,900.08 │ │ └────┴──────────┴─────────┘ |