![]() |
|
||
|
|
|||
澳門回歸前後
社會治安的趨勢分析
澳門發展策略研究中心“社會治安與經濟的關係”課題組
1999年是澳葡政府管治澳門的最後一年。在這一年裡,本澳的殺人、綁架、妨害社會等罪案均大幅增加,創下了近幾年的最高紀錄。而縱火、燒車、妨礙社會公共秩序等罪案也有增無減,直接威脅著市民的生命和財產的安全,就連關押犯人的地方——監獄也不太平,時有毆鬥打架、槍殺等暴力事件發生……,凡此種種,充分表明了在1999年本澳的社會治安問題曾經急轉直下,變得越來越嚴重,這不能不引起廣大市民的焦慮與不安。
2000年是澳門回歸祖國的第一年,也是澳門特區政府成立的第一年。面對如此嚴峻的社會治安問題,特區政府能管治好嗎?這是廣大市民為之憂心,又非常盼望解決的問題。從2000年上半年警方處理的刑事案件來看,市民聞之震驚的爆炸案以及涉及黑社會活動的案件全無發生,而殺人以及縱火等暴力案件也大為減少,案件大多屬於搶劫、盜竊、打架之類的案件。這就説明,本澳社會治安日益惡化的勢頭已經得到了初步的遏止。本澳的社會治安有了明顯的好轉,它向廣大市民宣告,澳門特區政府是有能力管治好澳門的社會治安的。
為了歷史地評述澳門回歸祖國前後一段時間裡,社會治安的變化狀況,以便更加客觀、更加科學地評述和了解澳門社會治安在回歸前後的變化發展趨勢,我們謹就1999年3月2000年6月這個重要時段的社會治安問題作出初步統計分析,供關心本澳社會治安的各界人士和政府官員參考。
1.澳門社會治安統計的主要指標
2.澳門社會治安的趨勢分析
┌───┬─────┬─────┬───────┬──────┬────────┬──────────┐ │ 時間│侵犯人身罪│侵犯財産罪│妨害社會生活罪│妨害本地區罪│侵犯人身財産罪 │ 罪案總數 │ ├───┼─────┼─────┼───────┼──────┼────────┼──────────┤ │ │ (1) │ (2) │ (3) │ (4) │ (1)十(2) │ (1)十(2)十(3)十(4)│ ├───┼─────┴─────┴───────┴──────┴────────┴──────────┤ │1999年│ │ ├───┼─────┬─────┬───────┬──────┬────────┬──────────┤ │ 3月 │ 137 │ 454 │ 44 │ 59 │ 591 │ 694 │ ├───┼─────┼─────┼───────┼──────┼────────┼──────────┤ │ 4月 │ 148 │ 462 │ 56 │ 84 │ 610 │ 750 │ ├───┼─────┼─────┼───────┼──────┼────────┼──────────┤ │ 5月 │ 119 │ 478 │ 42 │ 91 │ 597 │ 730 │ ├───┼─────┼─────┼───────┼──────┼────────┼──────────┤ │ 6月 │ 156 │ 457 │ 45 │ 42 │ 613 │ 700 │ ├───┼─────┼─────┼───────┼──────┼────────┼──────────┤ │ 7月 │ 131 │ 497 │ 101 │ 83 │ 628 │ 812 │ ├───┼─────┼─────┼───────┼──────┼────────┼──────────┤ │ 8月 │ 107 │ 456 │ 96 │ 99 │ 563 │ 758 │ ├───┼─────┼─────┼───────┼──────┼────────┼──────────┤ │ 9月 │ 122 │ 408 │ 74 │ 69 │ 530 │ 673 │ ├───┼─────┼─────┼───────┼──────┼────────┼──────────┤ │ 10月│ 143 │ 531 │ 70 │ 50 │ 674 │ 794 │ ├───┼─────┼─────┼───────┼──────┼────────┼──────────┤ │ 11月│ 128 │ 462 │ 55 │ 55 │ 590 │ 700 │ ├───┼─────┼─────┼───────┼──────┼────────┼──────────┤ │ 12月│ 108 │ 412 │ 42 │ 39 │ 520 │ 601 │ ├───┼─────┴─────┴───────┴──────┴────────┴──────────┤ │2000年│ │ ├───┼─────┬─────┬───────┬──────┬────────┬──────────┤ │ 1月 │ 160 │ 420 │ 53 │ 56 │ 580 │ 689 │ ├───┼─────┼─────┼───────┼──────┼────────┼──────────┤ │ 2月 │ 130 │ 356 │ 44 │ 50 │ 486 │ 580 │ ├───┼─────┼─────┼───────┼──────┼────────┼──────────┤ │ 3月 │ 133 │ 425 │ 63 │ 55 │ 558 │ 676 │ ├───┼─────┼─────┼───────┼──────┼────────┼──────────┤ │ 4月 │ 129 │ 450 │ 65 │ 50 │ 579 │ 694 │ ├───┼─────┼─────┼───────┼──────┼────────┼──────────┤ │ 5月 │ 147 │ 423 │ 67 │ 57 │ 570 │ 694 │ ├───┼─────┼─────┼───────┼──────┼────────┼──────────┤ │ 6月 │ 161 │ 358 │ 68 │ 63 │ 519 │ 650 │ └───┴─────┴─────┴───────┴──────┴────────┴──────────┘ |
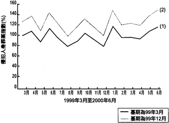
表2 表3 表4 ┌─────────────┐┌─────────────┐┌─────────────┐ │ 侵犯人身罪案指數 ││侵犯財産罪案指數 ││侵犯人身財産罪案指數 │ ├───┬─────────┤├───┬─────────┤├───┬─────────┤ │報告期│ 基期 ││報告期│ 基期 ││報告期│ 基期 │ │ ├────┬────┤│ ├────┬────┤│ ├────┬────┤ │ │99年 │99年 ││ │99年 │99年 ││ │99年 │99年 │ │ │ 3月 │12月 ││ │ 3月 │12月 ││ │ 3月 │12月 │ ├───┼────┴────┤├───┼────┴────┤├───┼────┴────┤ │1999年│ ││1999年│ ││1999年│ │ ├───┼────┬────┤├───┼────┬────┤├───┼────┬────┤ │ 3月 │ 100.0│ 126.9││3月 │ 100.0│ 110.2││ 3月 │ 100.0│ 113.7│ ├───┼────┼────┤├───┼────┼────┤├───┼────┼────┤ │ 4月 │ 108.0│ 137.0││4月 │ 101.8│ 112.1││ 4月 │ 103.2│ 117.3│ ├───┼────┼────┤├───┼────┼────┤├───┼────┼────┤ │ 5月 │ 86.9│ 110.2││5月 │ 105.3│ 116.0││ 5月 │ 101.0│ 114.8│ ├───┼────┼────┤├───┼────┼────┤├───┼────┼────┤ │ 6月 │ 113.9│ 144.0││6月 │ 100.7│ 110.9││ 6月 │ 103.7│ 117.9│ ├───┼────┼────┤├───┼────┼────┤├───┼────┼────┤ │ 7月 │ 95.6│ 121.3││7月 │ 109.5│ 120.6││ 7月 │ 106.3│ 120.8│ ├───┼────┼────┤├───┼────┼────┤├───┼────┼────┤ │ 8月 │ 78.1│ 99.1││8月 │ 100.4│ 110.7││ 8月 │ 95.3│ 108.3│ ├───┼────┼────┤├───┼────┼────┤├───┼────┼────┤ │ 9月 │ 89.1│ 113.0││9月 │ 89.8│ 99.0││ 9月 │ 89.7│ 101.9│ ├───┼────┼────┤├───┼────┼────┤├───┼────┼────┤ │ 10月│ 104.4│ 132.0││10月 │ 117.O│ 128.9││ 10月│ 114.0│ 129.6│ ├───┼────┼────┤├───┼────┼────┤├───┼────┼────┤ │ 11月│ 93.4│ 118.5││11月 │ 101.8│ 112.1││ 11月│ 99.8│ 113.5│ ├───┼────┼────┤├───┼────┼────┤├───┼────┼────┤ │ 12月│ 78.8│ 100.0││12月 │ 90.7│ 100.0││ 12月│ 88.0│ 100.0│ ├───┼────┴────┤├───┼────┴────┤├───┼────┴────┤ │2000年│ ││2000年│ ││2000年│ │ ├───┼────┬────┤├───┼────┬────┤├───┼────┬────┤ │ 1月 │ 116.8│ 148.1││1月 │ 92.5│ 101.9││ 1月 │ 98.3│ 111.5│ ├───┼────┼────┤├───┼────┼────┤├───┼────┼────┤ │ 2月 │ 94.9│ 120.4││2月 │ 78.4│ 86.4││ 2月 │ 82.2│ 93.5│ ├───┼────┼────┤├───┼────┼────┤├───┼────┼────┤ │ 3月 │ 97.1│ 123.1││3月 │ 93.6│ 103.2││ 3月 │ 94.4│ 107.3│ ├───┼────┼────┤├───┼────┼────┤├───┼────┼────┤ │ 4月 │ 94.2│ 119.4││4月 │ 99.1│ 109.2││ 4月 │ 98.0│ 111.3│ ├───┼────┼────┤├───┼────┼────┤├───┼────┼────┤ │ 5月 │ 107.3│ 136.1││5月 │ 93.2│ 102.7││ 5月 │ 96.4│ 109.6│ ├───┼────┼────┤├───┼────┼────┤├───┼────┼────┤ │ 6月 │ 117.5│ 149.1││6月 │ 78.9│ 86.9││ 6月 │ 87.8│ 99.8│ └───┴────┴────┘└───┴────┴────┘└───┴────┴────┘ |

圖一:侵犯人身罪案指數的趨勢曲線

圖二:侵犯人身財產罪案指數的趨勢曲線

圖三:侵犯人身財產罪案指數的趨勢曲線
3.評述和建議