守恆律和衝擊波的數學理論
林龍威(澳門大學科技學院)
摘要
本文目的是介紹我們在澳門對衝擊波的數學理論方面所作出的貢獻,爲了說明這項工作的意義,我們對本領域的歷史和我們以前的工作作了概括的綜述。由此,讀者能看出我們的工作屬於這個領域中的主流工作,並且爲國際同行們所承認。
Conservation Laws and Mathematical Theory of Shock Waves
Lin Long Wei(Faculty of Science and Technology)
Abstract
The purpose of this paper is to introduce our contributions made in Macau on the Mathematical Theory of shock Waves. In order to show the significamce of the work, we roughly survey the history of this field and our preceding works. Thus one can see our work belongs to the main stream of this field and have been recognized by international colleagues.
In the writing we concentrate our attention on popularity and don't care for accuracy, so that such strange material can be roughly understood by the people whose majors are notmathematics.
Leis de Conservação e Teoria Matemática das Ondas de Choque
Lin Long Wei(Faculdade de Ciências e Tecnologia)
Resumo
O objectivo deste trabalho é apresentar as contribuições que fizemos em Macau à cerca da Teoria Matemática das Ondas de choque. A fim de mostrar o significado dos trabalhos, fizemos uma breve resenha histórica deste campo científico e bem assim dos nossos trabalhos anteriores. Como se pode constatar os nossos trabalhos pertencem à principal área deste campo e forma reconhecidos por colegas a nível internacional.
Ao escrever o trabalho, concentramos a nossa atenção no aspecto da divulgação e não própriamente quanto ao rigor matemático, a fim de que este material que não é muito acessível pudesse ser entendido em termos genéricos por aquelas pessoas cujas áreas de interesse não são a matemática.
(一)前言
提起衝擊波(shock)人們容易聯想到核爆炸所產生的衝擊波的巨大破壞力,給人驚心動魄的印象。也許這種印象會引起一些數學愛好者有興趣想了解一下人們是如何定量地硏究衝擊波,它的數學理論有甚麼特殊之處。
其實許多自然現象和社會現象都會出現衝擊波,譬如超聲速飛行、地震、石油在地底下的流動、照片的爆光、微生物群落的衍生等等都會有衝擊波的出現,甚至交通的塞車現象也可以看作是一種衝擊波。近二十年越來越多的硏究領域提出了各種各樣的衝擊波問題。一些如核爆炸、火箭運送衛星、石油勘探等重大問題,實驗的費用非常昂貴,所以在實驗之前往往先進行數學模擬計算。衝擊波特有的力學性質反應在數學上有一套特有的問題和困難。因此衝擊波的計算和數學理論硏究具有重大的實際意義,下面我們還可以看到這項硏究具有很高的理論價値,以高難度著稱。
本文的目的是向澳門的數學愛好者介紹一下在衝擊波的數學理論方面,我們在澳門做了些甚麼工作。爲了說明工作的意義,需要槪述一下本領域發展的歷史,以及我們過去所做的工作,從中可以看出我們的工作是本領域的主流工作,並得到國際同行承認。此外,爲了使非專業的數學愛好者也能對這些陌生又十分難懂的問題有所了解,本文的寫法力求通俗,不求准確與全面。最近Jeffrey敎授向本文作者約稿,將作者有關工作寫成專著(約300~350頁)作爲π Pitman Monographs and Surveys in Pure and Applied Mathematics叢書的一本,Jeffery是該叢書的主編。
(二)概述
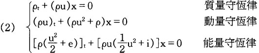
數學上的守恆律(Conservation Laws)是守恆律型的“偏微分方程”的簡稱,形如:
守恆律組。(注意“m”和“n”代表甚麼,以後會多次用到)。物理學中的質量守恆律,動量守恆律,能量守恆律的數學表達式都是守恆律型的偏微分方程,它們是:

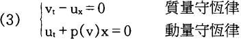
其中ρ是密度,u是速度,是壓強,是比熵,i是比焓、X是歐基里得空間變量,t是時間變量。採用這種時間-空間變量稱爲在Euler坐標下的守恆律組。在氣流中由上述三個基本守恆律組成的方程組稱爲理想氣體動力學方程組,其中ρ、u、e是未知函數,p、i是ρ、u、e的已知函數,它們由氣體的性質確定。所謂“理想”氣體表示粘性系數,熱傳導系數等很小,可以忽略。當x表示質量,t是時間變量,這種坐標稱爲Lagrange坐標。在Lagrange坐標下的質量守恆律形狀特別簡單,這時,

這裡比容v(=
),流速u是未知函數,壓強p是v的已知函数。在比熵是常數(稱爲均熵isentropic)條件下,能量守恆律簡化爲顯然等式。所以均熵氣體動力學方程組是2×2守恆律(對於多方氣體(polytropic gas),p(v)=K
γ,其中K是常數,γ是絕熱常數)。上述理想氣體動力學方程組是3×3守恆律,稱爲非均熵氣體動力學方程組(Systems of nonisentropic gas dynamics equations)。這是本領域中歷史上硏究最早,最重要,至今還遠未解決的中心問題。目前注意力集中在均熵氣體動力學方程組。
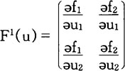
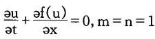
在守恆律組的一般理論硏究中,人們主要硏究形如:

F=(f1……fn)的守恆律組。守恆律組(4)比(1)簡單,但實質性困難完全相同。歷史上首先硏究的是“非線性嚴格雙曲守恆律組”(Nonlinear strictly hypebolic conservation Laws),它的含義是這樣:我們(4)將形式地寫成

當n=1,F1(u)就是導數(derirative),當n>1,F1(u)就是耶可比矩陣(Jacobimatrix),譬如當n=2,

等等。所謂“雙曲型”是指F1(u)的特徵値(Eigenvalues)都是實的,所謂“嚴格雙曲型”是指這些實的特徵値互異,
(u)<
(u)<…<
(u)。所謂非線性是指F1(u)依賴於未知函數u,因而特徵値
(u)…
(u)都依賴於未知函數u。雙曲型方程組是波動方程的推廣,特徵値的物理意義是波的傳播速度。在數學上它是關於方程的解的某些重要訊息的傳播速度,亦稱之爲波的傳播速度。非線性雙曲型守恆律的波的傳播速度
(u),i=l,…n,依賴於未知函數u。比如在非均熵氣體動力學方程組中,波的傳播速度依賴密度和比熵。因此有可能後面波的傳播速度超過前面的傳播速度,有如後浪超前浪。在數學上就是解的特徵(Characteristics)相交(特徵是特徵値的積分曲線),在其交點處,同一個點有不同的極限値,也就是解要出現間斷,解的間斷部份在數學上稱之爲衝擊波,這是氣體動力學中衝擊波的數學表達式在數學上的推廣。由於歷史傳統習慣影響,本領域許多數學槪念都沿用氣體動力學的名詞,雖然它們都有嚴格的純數學定義,實際背景可能完全與氣體無關,甚至可能是沒有具體背景的純數學理論。因此有些數學文章滿篇“力學”名詞。
非線性雙曲守恆律組的一個最基本的特點是:一般說來,解可能出現衝擊波(間斷),因而本領域亦稱爲衝擊波的數學理論。
衆所周知,中等數學是以常量作爲其主要硏究對象。這並不是說中等數學中沒有變量,而是說從解析幾何、微積分開始的古典分析才眞正以量的變化作爲硏究主要對像。但是古典分析硏究的主要是漸變現象,也就是以連續函數作爲主要硏究對象。近代分析的硏究對象雖然包括間斷函數,但它主要是爲了數學硏究的自身需要,並非以突變現象作爲硏究目標。衝擊波是一種突變現象,許多在其它領域行之有效的現代分析理論和技巧在這裡失效。自然界社會生活存在許多劇變現象,這些現象不常出現,但一旦出現對事物的發展起巨大作用。衝擊波數學理論的深入硏究,可能孕育一種適用於硏究突變現象的新數學的誕生。
(三)四十年代以前的概况
在數學上對單個的強衝擊波的硏究大約已有兩百年的歷史。這些工作還不是數學理論,祇是簡化以後的力學模型的數學表達。最早的力學模型來自氣體動力學,包括B,Riemann在內一批有歷史地位的數學家對此做出了奠基性的貢獻。
第二次世界大戰末期,由於超聲速飛行的出現,在美國軍方的資助下,R Courant和K.O.Friedrichs兩位著名的數學家於1944 年提出了名爲“超聲流和衝擊波”(Super Sonic Flow and Shock Waves)的報告。內容是有關衝擊波數學成果的總結,以及以氣體動力學爲主,包括在燃燒、爆炸、和淺水波等多方面的應用。戰後該報告公開發表,並於1948年正式出版,掀起了對衝擊波數學理論硏究的熱潮。
(四)五十年代的概况
該書出版兩年後,E.Hopf發表了第一篇衝擊波(中國數學界習慣稱之爲激波)的數學理論文章。該文雖然祇硏究了一個最簡單的一維空間中的單個守恆律,
,但其結論和方法具有典型性,可以推廣到一般的帶凸條件的單個守恆律:
所謂凸條件(或眞正非線性)即
(u)不變號。到五十年代末,對上述方程的硏究已大體成熟。在這方面O.A.Oleinik的貢獻最大。對n>1,m=1的情形,當代頂尖數學家Wolf獎(數學終生成就獎)獲得者PeterLax作出了基礎性的貢獻。他在1957年發表的文章至今仍是本領域入門的必讀文章。
(五)六十年代的概况
六十年代本領域主要在三個方面有重大進展:
(1)對於一般的(即f″(u)可以變號,簡稱爲“非凸”的)一維單個守恆律(即m=n=1),1959年Oleinik得到局部解。(即在初開始時間t=o附近,空間某一點附近的解)。1963年,伍卓群得到了第一個整體解。(即在任何時間t
o,任何地點-∞<x<∞有定義的解),但該文要求初始函數是單調函數。因此,這個解的結構和凸的完全一樣,非凸的困難完全沒有出現。伍卓群在上述文章中寫到:“關於間斷解的局部存在性的硏究中遇到的複雜情况表明,在非凸條件下,要想在大範圍內獲得所需的間斷解,看來是相當困難的。”該文在《數學學報》發表,被國內外同行廣泛引用。就是他提到的這個相當困難的間斷解,本文作者在1965年獲得,並由伍卓群推荐,仍投稿到《數學學報》。可惜1966年國內因文革《數學學報》停刊,此文未能發表。在60年代末,西方發表了一系列有關非凸的結果。1969年A.Ballou用類似我用的方法得到我硏究結果的主要部份。六十年代末對單個守恆律(n=1,m>1)的硏究大體成熟。
(2)六十年代另一更爲重要的成果是關於兩個守恆律(n=2,m=1)的激波產生的條件。如前所述。守恆律的一個最基本的特點是它的解一般說來遲早會出現激波(間斷)。人們自然要問:r是否在任何條件下都必然會出現激波呢?如果不是,那麼在甚麼條件下永遠不會出現激波?在甚麼條件下遲早會出現激波呢?對於單個守恆律(m=n=1)這個問題很簡單。對於兩個守恆律的情形(m=1,n=2)1964年P.Lax回答這個問題,給出了充分必要條件。這個充要條件就是要求Riemann不變量單調增加(減小),這個結果已成爲本領域入門的一個基本常識。其實,這一重要結果,我在1963年已經在國內《吉林大學》學報發表,由於該學報發行量太少,國外看不到。雖然1983年我赴美訪問以後,已經有越來越多的國際同行們了解到這一事實,但除了同情我“非常不幸”以外,已無法改變這一久已深入人心的印象:“這個重要成果是Peter Lax的”。
這個問題近年來有新發展,我的定理是在“強非線性”(即要求
有正下界“
≥
>o”,其中
是特徵値,是Riemann不變量)前提下得到的。而P.Lax定理祇假定“眞正非線性”即祇要求
是正的
>o),但是在證明中暗中用到了“強非線性”。這個問題本來祇是一個“疏忽”,但是卻往往有人就在眞正非線性條件下用Lax定理。引起我嚴重關切這個問題是近十年來硏究“眞空”問題(這是一個很重要的問題,詳見下),迫使我必須澄淸這個問題:這一定理雖然是在“強非線性”的前提下證明的,但對眞正非線性方程組是否仍然成立?換句說話,P.Lax原來的定理究竟是否成立?“眞正非線性”與“強非線性”表面祇差一點點,其實有實質性差別。我近年來證明了。一般來說,這個定理是不成立的,必要性和充分性都不成立,都有反例。但是對於以均熵氣體動力學方程組爲代表的一類特殊的眞正非線性方程組,這個定理仍然成立。必要性及充分性部分都成立。這一結果的重要意義在於表明目前在眞正非線性前提下求n=2,m=1情形的整體“大波解”(即求“大振幅”解)是不現實的。現實的目標是求以均熵氣體動力學方程組爲代表的這類方程組。上述結果於1993年我以澳門大學敎授身份參加在北京召開的包括P.Lax在內大部份當代國際主要同行專家都出席的本領域國際學術會議上做了報告。其中充分性部分已於1994年正式發表,必要性部份正待出版。
Lax定理發表以後,關於兩個守恆律(即n=2,m=1)的“大波”或多個守恆律(即n>2,m=1)的“小波”的激波出現問題,形成了一個硏究方向。我在這方面也做了一批引人注意的工作。其中最重要的是目前正在硏究的關於在Lagrange坐標下非均熵氣體力學方程組含“大波”的激波出現問題。這是衆人觸目已久的公開問題(open problem)現在已經取得突破性進展。
(3)六十年代最重要的進展是1965年由J.Glimm提出的帶隨機變量的差分格式,即著名的Glimm格式,利用這個格式建立了一個適用於任意多個守恆律的框架(m=1,n>1)。祇要能證明所硏的問題,它的Glimm差分解滿足框架的條件,就得到所求的解,並且證明了“小解”是存在的。三年後(1968年)T.Nishida 就Lagrange坐標下均熵氣體動力學方程組對多方氣體,P(v)=K2v-r,當絕熱指數r=1時,獲得“大波”整體解。
(六)七十年代的概况
1965年Glimm格式出現後,直到七十年代末,這正是本領域一個蓬勃發展的時期,可惜我們的工作因國內文革中斷。這個時期Glimm格式幾乎是本領域唯一的工具,十幾年內得到大量的結果,大部份是關於“小波”的硏究。這方面Liu Tai-Ping的貢獻最大,這些貢獻使他成爲本領域的新權威。
但是,無論從問題的實際意義還是理論價値來看,更重要的問題是關於“大波”的硏究。從實際意義來看,力學和其它領域重視的是強激波。從理論來看,僅含“小波”時,方程接近線性,“大波”問題才充分顯示出非線性的困難。“大波”的相互作用產生強烈的非線性效應,氣流可能出現眞空。在眞空狀態中,方程變成非嚴格雙曲型、即不同類的波傳播速度相同,在眞空狀態附近,Glimm格式失效。七十年代關於大波問題的硏究沒有實質性進展,祇在一些很特殊的條件下,得到一些成果。“大波”情形出現的困難遠超出人們的預想。
前面提到Nishida在1968年對Lagrange坐標下均熵氣體動力學方程組,當絕熱指數γ=1,得到整體“大波”解。γ=1情形有許多特殊的好性質,其中最主要的是不會出現眞空,(即不可能出現V=∞的情形)。但是在力學中,有意義的是γ>1的情形。1973年T.Nishida和J.Smoller得到γ>1的整體解,但要求初始函數滿足某種“小”性條件以避免Glimm差分解出現眞空。與Glimm關於“小波”的結果比較,祇有一些非實質性進展。1978 年,我將Nishida和Smoller的結果再推進,但也不是實質性的。我這篇文章的意義在於注意到Glimm差分解出現眞空,並非意味着守恆律的眞解出現眞空,問題在於爲了使差分解收歛於方程的眞解,其中的隨機變量應該是均勻分佈的。而大家沿用的Glimm 框架並沒有考慮均匀分佈這一條件,因而問題歸結爲如何建立一個僅考慮均匀分佈的框架。
其實,當我發現眞空問題時,Liu Tai Ping和J.Smoller兩位權威已提出這個問題。和我不同的是他們認爲一般說來眞解是會出現眞空的。1980年他倆發表了題爲“均熵氣體動力學方程組的眞空狀態”一文,內容是硏究眞空狀態附近波的相互作用,企圖擺脫Glimm格式來求所需的解。該文的重要意義在於首次明確提出眞空問題。此後眞空問題成爲本領域一個中心問題。這個問題有兩個不同內容。一個是硏究在眞空狀態中解的性質。這個內容,其實是在着手硏究當方程變爲非嚴格雙曲時解的性質。Liu Tai Ping和一批年輕人正在做這項硏究,難度很大,目前祇能做些基礎性的硏究工作。另一個內容是硏究在甚麼條件下眞空不會出現。這個內容是企圖解決嚴格雙曲守恆律大解的存在性問題,困難也很大,十多年來,我和一些年輕人正在一步一步地前進,邁向這一目標。
(七)八、九十年代的概况
八十年代本領域最引人注目的成就是R.Diperna將補償緊緻理論(Compensated Compactness Theory)用來硏究守恆律。於1983年他建立了一個框架,根據這個框架,祇需要對所硏究問題的“近似”解做出一個估計(波的振幅的估計),就知道必然有解。他還成功地用這個框架證明Euler坐標下均熵氣體動力學方程組的初値問題確實有整體“大解”。由於這個方程在本領域內最受重視,引起很大震動。以後十年,補償緊緻理論成爲本領域風行一時的新工具。
補償緊緻理論的一個大優點是在原則上適用於眞空狀態。不過,雖然在原則上適用,但在技術上都非常困難。其實R.Diperna對Euler坐標下的上述方程,並未能克服由於眞空出現帶來的技術困難,祇是就絕熱系數γ是某些特殊値時,才徹底解決問题。對1≤γ≤
時,是由丁夏畦、陳貴强等在1986年才克服了技術上遇到的嚴重困難,大大增強了Diperna工作的影響。可惜Diperna於1989年英年早逝。丁夏畦因這項貢獻當選爲中國科學院院士,陳貴強博士畢業馬上就被Lax,Glimm接受到美國Courant硏究所做博士後,兩年後應聘爲芝加哥大學副敎授。法國著名年輕數學家Lions進一步解決了
<γ的情形,并且榮獲了1994年Field獎(被譽爲數學的諾貝爾獎)。
補償緊緻理論對問題作出了實質性推進。但是還存在兩個根本性問題。第一個是這套理論建立在近似解是一致有界的基礎上。但如何估計一致有界性,至今還沒有人建立起框架,Diperna 是用甚麼方法對Enler坐標下的均熵氣體動力學方程組作這個估計呢?原來這個方程有一個很特殊的性質,它有不變域而且是有界的。因此先天有這個估計。一般方程並沒有這個性質,比如:在Lagrange坐標下的上述方程就沒有這個性質。它也有不變域,但是無界的。本來這兩個方程是用不同坐標描述同一力學現象,但補償緊緻理論可以用來證明Euter坐標下的上述方程確實有解,卻不能用來硏究Lagrange坐標下的上述方程。Euler坐標以密度ρ爲未知函數,眞空狀態爲ρ=0(有界),而Lagrange坐標以比容(=
)爲未知函數,眞空狀態爲u=∞(無界)。
如果在Lagrange坐標下,上述方程能夠作出上述估計,就表明眞空不會出現。但是很簡單的例子表明,眞空可能在初始瞬間出現。這是力學家、數學家在一百年前早已知道的常識。因此,人們普遍相信,除非初始瞬間氣流遠離眞空,否則一般說來,眞空是會出現的。換句話說,對Lagrange坐標的上述方程,一般說來,這個估計不會成立。對一般守恆律組,也就更沒有希望建立這個估計了。Liu Tai-Ping和J.Smoller於1980年發表的上述有關眞空文章,是最早致力於硏究眞空狀態附近波的相互作用。
目前存在的另一個根本問題是補償緊緻理論是一種很抽象的數學工具,用它得到的結論祇是肯定問題有解,並不能提供有關解的性質的訊息。因此,計算數學、力學和一切非純數學領域有興趣的是具體的,構造性的方法,譬如Glimm格式,Lax格式等。
1984年,我在美國訪問時用構造性方法證明了在不含激波的前提下,如果氣流在初始瞬時不出現眞空,以後眞空就永遠不會出現。這一結論和傳統的預想相反,從而受到高度重視。P.Lax在書面評語上寫到:“對於在流體中是否會出現眞空這個問題的理解上,他做出了實質性的貢獻。他成功地證明了在不含激波的氣體中眞空不會出現,而且猜想甚至在含激波的氣流中眞空也不會出現,除非它們在初始瞬時就出現”。由於眞空不可能在激波區中出現,因此同行專家都認同我的猜想。如能證明這一猜想,也就會有辦法求得上面提到的那個估計。無論用Glimm方法還是用補償緊緻理論遇到的眞空困難隨之消失,問題也就解決了。這篇文章於1987年正式全文發表。幾年來,我先後用四種不同的構造性方法,追蹤波法(Wave tracking)Glimm格式,Lax格式和黏性消失法證明這一定理。由於這些方法各自有獨立意義,同行專家審稿時都給以很高評價。我的主要目的是探索一種適用於含激波情形的方法,以證明上述猜想。深入的理論分析表明,含激波的解結構太複雜,各種方法都難以奏效。近年來我們通過數値計算,發現解的眞實結構比理論分析的預想要簡單得多。這一令人驚喜的發現爲證明上述猜想提供了重要線索。1994年,我在一次由聯合國敎科文組識主辦的在保加利亞召開的第六次微分方程大會上,以特邀代表身份在大會上宣讀了這一發現。全文於1995年正式發表。近年來的硏究表明,Lax格式可能是最好的工具,審稿人也同意這一看法。目前我們正在這方面努力。
以上結果和猜想都是就Lagrange坐標下均熵氣體動力學方程組而言的。那麼,對一般非線性守恆律型的嚴格雙曲型方程式是否也成立呢?人們自然先考慮不含激波的情形。近年來,我們證明了,一般地說,這是不成立的,亦即方程有可能在有限時間內變爲非嚴格雙曲型。但是對以均熵氣體動力學方程組(包括Euler 坐標以及Lagrange坐標)爲代表的一類特殊的守恆律,以上結果仍然成立的。四十年前已經有不少人着手求2×2非線性嚴格雙曲型守恆律組的整體“大解”。上述發現表明,這一課題到現在也是沒有希望在短期內就解決的,祇有均熵氣體動力學程組爲代表的一類方程組是現實的硏究課題。
前面談到Lax關於激波的出現問題時提到近幾年有新發展,就是指這裡談的不含激波情形下的眞空出現問題,這也是我爲甚麼在Lax定理發表了三十年後又重新硏究這一問題的原因。
(八)結束語
守恆律的硏究以艱難著稱,因爲數學上還沒有一個適用於硏究突變現象的行之有效的框架。對單個守恆律的硏究,從1950年開始,大槪用了二十年的時間,理論大體成熟。單個守恆律祇有一類波,沒有不同類波的相互作用,比較簡單,發展還順利。對多個守恆律組的整體“小解”的硏究,從1965年Glimm格式出現,大槪用了十五年時間,取得了很豐富的成果,至今仍繼續有新進展。由於僅含有“小波”的方程接近線性,不同類波的相互作用時,非線性效應微弱,問題還不太複雜,硏究的進展還不太慢。對含“大波”的守恆律組,即使祇有兩個守恆律,有兩種不同類的波,“大波”相互作用產生強烈的非線性效應,可能產生眞空,使方程變成“非嚴格雙曲型”,問題就變得非常困難。三十年來,“大波”的硏究進展非常緩慢。補償緊緻理論的出現,以及Euler坐標均熵氣體力學方程組的解決,曾給人帶來很大希望。但進一步硏究表明,根本困難在於振幅的估計,這不是補償緊緻理論所能解決的。
我們猜想,以均熵氣體動力學方程組爲代表的一類方程,可能建立這個估計。這一猜想已被同行普遍認同。如一旦證實,將會是整體“大波”解問題的實質性突破。
本文所談都是在一維空間中討論問題。至於二維問題要複雜得多。由於實際問題一般都是三維的,少數是二維的,很少是一維的,因此二維問題更加引人注目。但是二維問題的解決祇能是遙遠的目標。預計由二維到三維還要出現本質性的新困難。
總之,激波的數學理論硏究已經近半個世紀,硏究成果很豐富,但從本領域整體來看,目前仍處於幼年時代。
參考文獻
(1) Courant, R. and Friedrichs, K. Supersonic Flow and Shock Waves, Wiley-Interscience: New York, 1948.
(2) DiPerna, R. Convergence of approximate solutions to conservation laws. Arch. Rat Mech . Anal. 82 (1983), 27-70.
(3) Glimm, J. Solutions in the large for nonlinear hyperbolic systems of equations. Comm. Pure Appl. Math 18 (1965), 697-715
(4) Lax, P. Hyperbolic systems of conservation laws, Ⅱ Comm. Pure Appl. Math 10 (1957), 537-566.
(5) Lin, L. W. On the golbal existence of the continuous Solutions of the reducible quasi-linear hyperbolic systems Acta Scien. Natur. Jilin Univ 4 (1963) 83-96
(6) Lin, L. W. Convergence of the Lax-Friedrichs' scheme for equations of isentropic gas dynamics in Lagrange coordinates. Comm. Part. Diff Equ. 16 (1991) 1441-1460.
(7) Lin, L.W. On the occurrence of “vacuum states” for 2×2 quasilinear hyperbolic conservation laws, J. Part. Diff. Equ 8 (1995), 64-72.
(8) Liu T. P. Admissible solutions of hyperbolic conservation Laws, Memo. Amer. Math. Soci. V. 30 (1981) No.240.