高濁度河口水域污染的生態評價
王志石(澳門大學科技學院)
摘要
本文應用水生態化學(aquatic chemistry)原理對澳門周圍水域水質監測結果進行了系統分析。分析結果表明:由於有機污染物的積聚和營養物質的過量,干擾了水與底質交界處的碳、氧、氮、硫等基本元素的生化循環過程,造成了缺氧邏原環境和孔隙水pH値降低。氧化還原電位受SO
/HS-氧化還原反應控制,說明澳門水域有機污染影響已達較嚴重的程度。
本文還給出了重金屬從底質中解析釋放的實驗室研究結果,並結合表面膠體化學原理分析了孔隙水pH降低以及有機物缺氧酸化對重金屬釋放的促進作用。指出了澳門水域底質中聚積的重金屬有毒有害物質重新釋放的危險趨勢。
An Ecological Assessment for Water Pollution in the Estuary with High Turbidity
Zhishi Wang(Faculty of Science and Technology,University of Macau)
Abstract
It is attempted to attempted to apply the principles of aquatic chemistry tomaking a systematical analysis of the recent monitoring results of water quality and pollution in the Macau coastal waters. The results show that due to accumulation of organic wastes and overloading of nutrient materials, the successional ecological cycling processes of the essential elements such as C, O, N, S,and P elements at the water/sediment interfaces are seriously interrupted, leading to an anoxic and reduced environment there and decrease of pHs in the pore water of the sediment. The redox electric potentials at the interface is controlled by the redox SO
/HS- , which indicates a critical pollution occurring in the boundary between the water phase and sediment.
In this paper the laboratory study results of mechanisms of metal re-mobilization from the sediment are also presented. It is attempted to apply the principles of particulate surface chemistry to making analysis of these laboratory works. The results show that the pH decrease of the pore water and accumulation of organic acids in the sediment due to anaerobic acidification of organic wastes take the major roles in the metal remobilization processes from the sediment. It is a long term environmental problem of the metal re-mobilization in the Macau coastal waters.
A Determinação Ecológico da Pouição de Água no Estuário com Grave Turvação
Zhishi Wang(Faculdade de Ciências e Tecnologia Universidade de Macau)
Síntese
Isto é um documento para a determinação ecológica da poluição de água no estuário de Macau. Com princípio da química aquáticaestudamo o resultado de monitor da qualidade de água na costa de Macau. O resultado demonstra que a poluição orgânica nas água territoríais interrompeu o equilíbrio ecológico e químico para ciclismo de elemento C, O, N, S, e P em zona interfacial entre água e sedimento. Isto conduzirá a decrescimento de pHs e a potencialidade de oxidação-redução negativa no água de poro de sedimento.
Este capítulo do documento apresenta o resultado da investigação laboratória sobre a mobilização de metal (Cu, Pb, Cd) de o sedimento. Aplicação de princípio da química coloidal foi discutido neste capítulo. O resultado demonstra que o decrescimento de pHs e a acumulação de viciado orgânica no sedimento conduzirá a mobilização de metal do sedimento.
一、前言
澳門周圍水域處在徑流河口磨刀門與伶叮洋之間。衛星照片淸楚地顯示,這是一個高濁度河口水域〔1〕。磨刀門河口每年傳輸大約七億噸內陸泥沙,其相當部分沉積在這一水域。該水域潮汐呈不規則的半日潮,平均潮差爲0.86至1.69米。退潮流速爲每秒0.40至0.74米,顯著大於漲潮流速(0.19至0.46秒米)。強徑流弱潮汐的流態造成了肉眼可見的高濁度表層水和泥砂淤積的軟底質層。底質表層顆粒物尺寸細小,5至21微米的顆粒佔74%至96%。該水域幾乎是封閉的,因爲潮流對細小顆粒的攪動形成持久的高濁度。在雨季濁度可達每升300至400毫克,在旱季也有50至100毫克/升。濁度垂直分佈呈明顯的分層現象(Lutocline)濁度高達1460毫克升〔2〕。由於高沉積速率(每年0.33米)使底部潮汐平面每年上升2至4厘米;也使該水域爲典型的淺層水域,水深僅2至5米。淺層水域往往在水與底質介面形成高剪力流,能量耗散速率可達0.01m2/S3,顆粒沉積和再懸浮頻繁交替〔3〕。因此,在水與底質介面處顆粒物的物理化學行爲及介面處生物化學過程是評價該水域生態環境污染影響的關鍵。
這種淺層封閉水域,潮汐影響小,溶解氧傳輸迅速有利於穴居底棲生物繁殖。然而,由於污染已使水生生態環境遭到破壞,特別在中國與澳門交界處已成爲死水域,底質呈黑色,溶解氧嚴重缺乏呈缺氧還原條件。硫化氫和離子氨等還原物質釋放〔4〕,pH値下降,氧化還原電位低至負140毫伏〔3〕等都反映出該水域受污染的程度。近年來,先後有澳門大學(1988年)〔6〕,澳門土木工程實驗室(1990年)〔4〕和澳門衛生司(1991年)〔5〕對澳門水域水質進行了現場監測。結果表明:海水有機污染嚴重並且無機氮、磷營養物質過量。表一給出這些監測的綜合結果。表二爲底質污染監測結果,表明水與底質界面處已呈缺氧還原環境。

表一中,H-酸碱性指標,DO-溶解氧,BOD-生物化學耗氧量,TIN-總無機氮,TP-總磷。除pH値外,監測參數的單位都是每升毫克。

表中,pHs-底質孔隙水pH値,Eh-底質氧化還原電位,單位爲毫伏,TINs-底底質中總無機氮,TPs-底質總磷,Alk-碱度,S
-硫酸根,
-硫化氫,N
-離子氨。除pH和Eh外監測參數的單位爲毫克升,而底質總氮總磷的單位爲每公斤毫克。
本文試圖應用水生態化學原理對上述監測結果進行綜合地深入分析。以便對污染對該水域生態平衡的干擾程度得到一個科學的結論。主要涉及的問題有:有機污染對水與底質交界處微生物化學循環過程的干擾,水體底部缺氧還原環境的成因和影響,重金屬污染物在底質中積聚和再釋放過程機制等。一個生態系統中的各種物理化學和生物化學過程突出表現出綜合性和相互關聯。污染侵入系統後總是發生連鎖反應。比如,有機物的生物降解引起溶解氧的過度消耗,從而降低了pH値和氧化還原電位。這又引致氮、硫元素的還原反應,使鐵質溶解和磷元素的釋放。進一步還可能發生重金屬的解析造成第二次污染。單靠現場監測數據是不能揭示這些連鎖效應的,祇有運用水生態化學原理進行綜合分析才能揭示污染效應的本質。本文是硏究項目“澳門水資源保護和水污染控制”的部分成果。
二、水與底質交界處生物化學循環過程的干擾
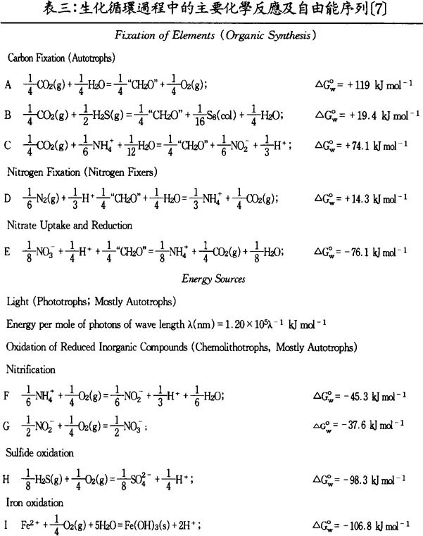
河口水體中的微生物,眞菌,原生質及浮游植物的生物化學合成構成了水體的初級生產力。它是水體生態平衡的標誌,也是生態系統中食物鏈的基礎環節。它是由碳、氧、氮、磷、硫、鐵等基本元素在微生物作用下發生的氧化還原反應完成的,同時伴有吸附解析、溶解沉淀等其它化學反應過程。由於細胞合成的碳源和能源的不同,又劃分爲光合自養合成過程(例如浮游植物的合成)、化學能異養合成(例如眞菌和原生質的合成)等多種循環過程。這些過程相互關連表現出嚴格的有序性。這一點在水與底質交界處表現得尤其明顯。圖一給出在交界處主要元素的生化循環過程及它們的相互關連。表三則給出涉及生化循環的主要氧化還原反應及其反應自由能序列。
表中的自由能値代表了相應的微生物細胞合成所需要能量的最低値或反應能釋放的能量的最高値。正是這一自由能級的序列決定了這些生化反應的先後次序及生化循環的有序性。


澳門水域有機污染嚴重,例如筷子基處生化耗氧量已達每升38.1毫克(見表一)。這首先加速了異養呼吸過程即反應K,從而消耗溶解氧。在水與底質界面處,由於濁度分層阻礙了水體復氧過程而使溶解氧消耗殆盡。這時硝酸根成爲電子給予體發生反應L即異養脫氮。若有機污染物仍然過量就接着發生鐵、錳的還原溶解即反應M和N。這時水中就會出現過量的鐵、錳物質。表四給出澳門水域鐵與錳的監測結果〔8〕。可見,溶解鐵與錳普遍較高。有機物的進一步氧化將以硫酸根爲電子給予體,發生反應O釋放出硫化氫。從反應K至反應O反映了有機污染嚴重程度的加深。若水體有硫化氫釋放說明有機污染已較嚴重了。表二的監測數據說明澳門水域有機污染已達較嚴重的程度了,一些水體已開始釋放硫化氫。這時,控制水與底質交界處生態化學環境的反應爲:


達到化學平衡時,有:

式(2)中,pe°爲標準電子活度的負對數,對於反應(1)其値爲4.25。〔HS-〕、〔S
〕和〔H+〕爲這些化學物質的摩爾濃度。pe爲電子活度負對數,它與氧化還原電位有如下關係:

式(3)中F爲法拉弟常數,T爲絕對溫度,R爲氣體常數。表二給出底質孔隙水pH値在7.2至7.8之間。假定水溫爲20℃,結合式(2)與(3)計算出界面處氧化還原電位大致爲負180毫伏。而實際監測結果在負110至140毫伏(見表二)。考慮到監測誤差,理論計算與實際結果是相符的。
在缺氧的底質表層發生的有機物氧化過程主要從鐵、錳和硫酸根中獲取所需要的電子。然而,化學反應動力學機理硏究結果表明〔9〕:實際的反應過程並不是像表三中反應L至反應O那樣,最終生成CO2氣體,而是停留在反應過程的中間階段即缺氧酸化階段,形成揮發性有機酸的積聚。有機物轉化爲以醋酸爲主的有機酸物質,從而降低了pH値。從表二中底質pHs値與表一中水中pH値相比較可見,底質pHs較水體pH値普遍爲低。有機酸可與鐵、錳發生廣泛的化學絡合反應,進一步促進了鐵、錳的溶解。而鐵、錳的溶解引起了磷的釋放。這成爲水體底部富養化的成因之一。實際發生的氮的循環過程也存在動力學問題。表三中反應L並不代表實際過程,實際發生的是其中間反應E,即反應並不釋放N2氣而是離子氨(N
)。表二監測結果證明了這一分析。
缺氧酸化的底質其孔隙水pHs値除有機酸外還受水的碱度(Alk)及其它酸碱物質例如氨、磷酸、硫化氫等控制〔9〕。水的碱度可由下式計算:

式中〔Ac〕代表有機酸的摩爾濃度。表一與表二的監測數據表明,一些物質例如C
、HS-、NH3等濃度較低可忽略,式(4)可簡化爲:

式中Kc、Ka分别爲碳酸和有機酸的酸常數[CO2]爲溶解二氧化碳摩爾濃度,Ca爲有機酸的摩爾深受度。由表一和表二臨測结果可合理地假定孔隙水的碱度爲2.6毫摩爾升,溶解二氧化碳爲10毫摩爾升,pHs値爲7.35。由式(6)計算結果可知,在底質表層因有機物異養氧化引起的有機酸積聚達每升22毫摩爾。
上層水體pH値控制機理與底質孔隙水pHs完全不同,溶解二氧化碳主要來自大氣中二氧化碳氣體的溶解。同時,有機酸的影響可以忽略。水體溶解二氧化碳濃度可由下式計算:

式中K1、K2爲碳酸酸常數。大氣中二氧化碳偏壓爲10-3.5大氣壓。澳門水體碱度大致爲2.6毫摩爾升。依式(8)至(11)可計算出水體pH値爲7.7。這與表一中監測結果是一致。這說明就上層水體而言,除個別區域如筷子基之外污染影響尙不嚴重。其中一個原因是水面寬水深小使大氧溶氧過程較順暢,可不斷提供有機物好氧降解所需的氧,使異養呼吸反應K不斷持續下去,不致於使生化循環過程發生畸變,而有機污染物也可不斷轉化爲二氧化碳,從而淨化了水體。
上層水體的生化循環過程與水與底質交界處不同,交界處發生的生化反應(反應L至O)是以化學能作爲細胞合成的能源,而上層水體由於直接受到太陽能的幅射,細胞合成可用光能作爲能源,發生光合異養合成反應,產生浮游植物即藻類。這是水體生態系統初級生產力的重要方面。這一合成反應可用下式表示:

這一反應過程中需要無機氮和磷等營養物質。若由於污染引起這類營養物質過量可使藻類大量繁殖而引起水體富營養化污染。由表一顯示水中無機氮和磷偏高,已經產生富營養化條件。祇所以沒發生藻類的大量繁殖,主因是澳門水體的高濁度影響了陽光幅射,使得反應(12)因光能不足而受到阻滯。然而這不等於說氮磷過量不會有問題。氮的過量加速了水中的硝化反應(反應F和G)消耗溶解氧,進一步加重了水體底部缺氧還原環境的程度,產生與有機污染同樣的效應。而磷的過量引起底質磷的積聚。表二數據表明總磷普遍在0.4至0.8毫克/公斤。正如前述,在缺氧還原條件下隨着鐵的溶解而釋放出磷,引致二次污染。
總之,應用水生態化學原理對近年來監測結果所進行的系統分析表明:澳門水域主要受到有機污染和營養物過量。這對澳門水域水生態環境的主要影響是干擾了水與底質交界處的生物化學循環過程,造成缺氧還原條件,並使底質孔隙水PHs値降低。這樣的環境條件下加速了有機物的化學能異養降解,使硫化氫和離子氨等還原物質釋放出來,並造成高溶解鐵質和磷的釋放。在水與底質交界處氧化還原電位主要受
/HS-氧化還原反應控制,說明有機污染已達到相當嚴重程度。上層水體尙有降解有機污染物質的能力,污染影響尙不嚴重。無機氮磷過量並沒直接產生富營養化,而是表現爲對底質缺氧還原環境的進一步惡化。
三、重金屬毒性物質在底質中的積聚和再釋放
澳門水域另一個生態環境問題是重金屬鉛、鎘、鉻等以及其它毒性物質如砷在底質的積聚所引起的長期的污染影響。表五給出近年來現場監測結果。爲了評價重金屬在沉淀底質中積聚的程度,定義一個分配常數KD來定量地反映重金屬在水相與沉淀固相之間的分配:

式中KD的單位爲每克升,〔S
M〕代表重金屬M在沉淀底質中的濃度,單位爲每克毫克,〔M〕爲重金屬在水中濃度,單位爲每升毫克。表五中的數據具有以下單位:在水中重金屬或毒性物質砷的濃度單位爲每升微克,在底質中的單位爲每公斤毫克。表五中也列出了重金屬鎘、鉛、鉻以及砷的分配常數値。它們在8至20之間,說明了澳門水域底質中已發生了重金屬以及砷的積聚。
生態毒理學硏究表明〔10〕:對水生態環境具有毒理效應的重金屬形態是其游離離子,吸附在顆粒表面和積聚在沉淀底質中的重金屬一般無毒性。表五的數據表明,在上層水體中重金屬濃度較低沒造成污染傷害。由於澳門水域高濁度的特點,重金屬大部份吸附在懸浮顆粒表面上,隨着混凝沉淀作用積聚到底質中,暫時尙對生態環境沒有造成大的影響。然而這不等於說沒有潛在的危機存在。特別是上一節的分析已經表明,有機污染已經嚴重干擾了水與底質交界處的生物化學循環過程,造成了缺氧還原環境,並且發生有機酸的積聚和pH値降低。這些都是促使重金屬從底質中釋放出來游離到上層水體的重要因素。由於底質對重金屬的濃縮積聚作用,一旦發生重金屬的再釋放,將大大提高水體重金屬濃度而造成災難性後果。因此,硏究重金屬從底質中再釋放的過程機理和可能條件,探討再釋放的可能途徑就成爲澳門環境硏究中的一個重要而迫切的課題。下面介紹一下最近在澳門大學進行的有關硏究的部分成果。
最近硏究表明,河口水域中的顆粒物質表面都有無定形結構形態的鐵氧化物〔11〕。重金屬在顆粒表面吸附本質上是金屬離子與氧化鐵表面羥基官能團的表面絡合反應,即

式中〔S
FeOH〕代表氧化鐵表面羥基官能團的濃度,〔S
FeOM
〕代表氧化鐵表面吸附金屬離子M2+的濃度,〔M2+〕爲金屬離子M2+在水中的濃度,Ks爲吸附平衡常數。這一個吸附過程受水的pH値控制,並且是可逆反應。pH値升高即水中氫離子濃度降低時,反應(14)的平衡向右方向移動而發生離子吸附。pH値降低即氫離子濃度升高時反應向左方向移動而發生離子解析〔12〕。圖二給出銅、鎘、鉛離子在氧化鐵顆粒表面吸附和解析實驗結果。圖中△代表隨pH値降低從表面解析下來的金屬離子佔總吸附量的比例,它隨pH 値降低而降低。符號o代表隨pH升高金屬離子吸附百分比,它隨pH升高而增加。可見這一吸附反應是可逆的,受pH値控制。而且吸附和解析都發生在一很狹窄的pH範圍,如對鉛來講發生在6至8之間,而鎘則是4至6之間。在這一特定pH値範圍,pH稍微升高將引起吸附量的突然增加,而稍許降低則引起顯著解析發生。將式(15)寫成對數形式:
可見吸附的量與水中金屬離子濃度之比與pH成線性關係,在對數座標圖上應爲一直線,且直線的斜率應爲1。將圖二數據進行這樣的處理得到圖三。可見實驗値確實給出了直線關係,斜率在0.94 至1.0之間,證明了上述理論分析是正確的。式(16)左邊恰恰是分配系數KD的對數,而右邊頭兩項爲常數。所以式(16)可改寫爲更實用的形成即:


式中KM等於式(16)中Ks與〔S
FeOH+〕之積。可見分配常數並非常數而是隨pH値而變化。在底質與水體之間重金屬的分配是隨pH値變化的。當底質孔隙水的pH値因有機物降解而降低時,分配系數減小解析發生,使積聚在底質中重金屬再釋放出來,而且這都發生在一很狹窄的pH値範圍內。
在底質與水交界處有機物異養降解產生的有機酸不僅因降低了孔隙水pH値而引起重金屬解析,而且有機酸本身也可直接使吸附的重金屬解析出來。這是因爲有機酸與重金屬有很強的溶液絡合作用,可以與已吸附在顆粒表面的重金屬離子發生絡合反應生成溶液絡合物,從而將其帶入水中。這一過程機理也可以應用上述表面絡合化學原理來解釋。有機酸與金屬發生溶液絡合反應可寫爲:

可見,金屬離子溶液絡合與表面絡合(吸附)之比與溶液絡合常數K與表面絡合常數(即吸附常數)Ks之比呈正比關係,即溶液絡合常數越高形成溶液絡合物ML的趨勢越強烈,從顆粒表面解析出來的重金屬離子越多。圖四爲重金屬銅在有機酸作用下從針鐵礦顆粒表面解析出來的實驗結果。所涉及的有機酸有檸檬酸(citric)、酒石酸(tartaric)、水楊酸(salicylic)和苯二酸(phthalic)。由實驗結果可見,與無有機酸的情况比較,在有機酸存在時吸附百分比降低即解析發生。而且,檸檬酸的解析作用最明顯,且有檸檬酸的作用大於酒石酸,酒石酸的作用大於水楊酸這樣一個規律。這是因爲它們與銅離子發生溶液絡合的絡合常數K不同造成的。事實上,檸檬酸、酒石酸和水楊酸與銅離子的溶液絡合常數分別爲100.8,10-1.14和10-2.24,大小順序與它們的解析作用順序是一致的。硏究還表明,有機酸與金屬離子發生溶液絡合反應的趨勢與有機酸本身的酸性強弱有關。檸檬酸酸性最強表現出更強的溶液絡合趨勢,因而解析作用最強烈。

總之,上述實驗室吸附與解析機理硏究表明,重金屬在河口顆粒物表面吸附與解析是一個可逆過程,並且是在一個很窄的pH値範圍內發生的過程。在這一範圍內,pH値的微小降低將引起突然的解析。有機酸本身由於與金屬離子可發生較強烈的溶液絡合反應,而使金屬離子從顆粒表面解析出來,這一解析作用與有機酸的酸性強弱有直接關係。在澳門水域由於有機污染已較嚴重,使得在水與底質交界處發生有機酸的積聚並引起孔隙水pH値降低。這些都直接導致金屬離子的解析,而使積聚在底質中的重金屬釋放出來,引起第二次污染。這種潛在的生態環境危機不能不引起高度重視。
参考文獻:
(1)S. Chen, W. Che (1992) “Analysis of Hydrological Characteristics of the Water Zone Around Macao” proceedings of Intemational Conference on the Pearl River Estuary in the Surrounding Area of Macao, 19-23 October 1992, Macao.
(2)Macao Marine Department (1983 ) “Macau Oceanographic Environment”
(3)Zhishi Wang (1995) “Water Resource Conservation in Macau” proceedings of Polmet'95, March 1995, Beijing.
(4)Luisa P. Santos (1992) “Chemical Analysis of Marine Waters in Macao” proceedings of International Conference on the Pearl River Estuary in the Surrounding Area of Macao, October 1992,Macao.
(5)M. F. Ferreira, W.S.Chiu, W.Sun (1995) “Accumulation of the Heavy Metals and Nutrients in Sediment” proceedings of Intemational Conference on Marine Pollution and Ecoloxicolgy, 22 -25 January 1995, HongKong.
(6)S.K.Chan, W.Tan (1990) “Urban Development and Pollution in Macau” proceedings of the Symposium on Population and City Growth in Macau, May, 1990, Macau.
(7)F.M.M.Morel, J.G.Hering (1993) (Principles and Applications of Aquatic Chemistry), John Wiley & Sons, Inc., 1993, New York.
(8)陳錫僑、楊麗梅、黄銘洪(1998)“澳門半岛和氹仔重金屬的污染”華僑報,1988年3月12日。
(9)Zhishi Wang, Yongtao Wang (1996) “Comupter Modeling for pH Stability of the Anoxic Acidic Environment in the Sediment ofMacau Coastal Waters” proceedings of International Conference:EPMESC V, 1-4 August 1995, Macau.
(10)J. R. O' Donnel, B. M. Kaplan, H. E. Allen (1985) “Bioavailability of Trace Metals in Natural Waters” proceedings of Aquatic Toxicology: Seventh Symposium, 1985, Lisbon.
(11)J. M. Martin, J. M. Mouchel, P. Nirel (1986) “Some Recent Development in The Characterisation of Estuarine Particulates”, J.Water Science and Technology, Vol. 18, pp83 - 92, 1986, Great Britain.
(12)Zhishi Wang (1995) “Particulate Surface Chemistry vs. Marine Heavy Metal Pollution” proceedings of Intemational Conference on Marine Pollution and Ecotoxicology, 22-25 January, 1995, Hong Kong.