![]() |
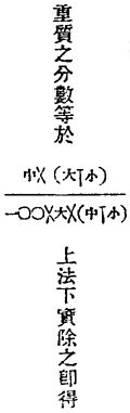
|
||
|
|
|||
光绪二十四年十月二十一日弟七十三
气节说
隶,尚有如裴灾叔姪者噫,今也则亡,昔人云,道义降而为气节,气节降而为客气,余
,
容气
而为
气惰气降而为怯气,怯气者何也,畏死也,今支那人是也,鸣呼,支那亿万襟缨士夫,豈竟尽如藻洲氏所云哉,吾固不敢信也,吾又不忍言也,夫君臣之义,先圣所立,亘于天地,明若日星,故为臣而死于其君者谓之忠,为臣而畔于其君者谓之奸,诚以君位既正,则尊而不亲,大而无并,而为之臣者,不容他有所趋向也,士大夫未遇时,诵经读史,至忠臣义士之事,恆俯仰激昂,若不能以自已,見畔君背上者,则拍案呌骂,形於辞色是以八股帖括之间,尊君親上之词,触目而是,执笔坐论之日,尊王保国之论,卓越时流,使非置身通显,遭遇艰危,则王阳明所谓满街皆圣人,诚非虚语,嗟乎,气节者固可以言语伪乎哉,身莫重于荣辱之际,事莫大於生死之交,承平無事時,功名尚气之人,皆可以高论大言,博清流時賢之望,其好事喜功者,则更能为一二異人之举作以求实其榮名,而世遂亦以是相震惊而不察其伪,及一旦荣辱死生,几希相接,于是前之功名尚气者,或因顾身之故而不顾宫,或因顾官之故而不顾名,委曲弥缝,多方營幹,转瞬而底里呈露,前後若异人,鸣呼,此所谓气节者又何解矣,当新政大举时,海内风靡,举国若狂,此皆天下人所共目覩耳闻者矣,当废八股则,痛陈八般之害,当开学堂则沥陈学堂之规,当变武科则条议弓刀石之无用,当议裁官则力指冗员滥官之积弊,此接彼续,纷至沓来,言言皆中肯,字字皆投时,曾几何时而面目改观,则反唇相向,前日之以为善者,今忽谓之恶矣,前日之以为恶者,今忽谓之善矣,虽不至如卫叔宝之全无心肝,亦得毋如苏味道之模棱两可,此气节之不可解者一也。
计,藉党祸以株连,虽省免而仍行参揭,甚至明知新法之善,必极力以平反,已知旧制之非,必索性而复举,任其意气之偏,逞其报复之志,置 君国於不问,任外患之交侵,然则前所谓守旧者,殆守其禄位身家乎,抑果守我 祖 宗之法也,此气节之不可解者五也。读庆元党案书後
书 今上口谕军机章京谭图同语後
京外近事 户部额外主事蔡镇藩条陈新政摺
官之事,理财而市易无专职,制币而平准无专责,筹军饷,制国用,而度支无专司,不得不行派办之法,久则派办设有常处,兼隶省司之件,亦多承办,故北档房最为繁剧,实则派一次,乃办一次,公事到一次,乃派办一次,前与后俱了不相关,非其职也,今欲振兴庶務,而富国养民,筹饷理兵之职,未可因陋就簡,宜改北档房会计司,专管军国度支,综核财赋,增设农政司,商务司,掌天下农商之政,令考核功过,其矿冶诸务之兼隶各司者亦如之,农商体大事繁,现京城虽设总局,外省多有分局,不过藉以提倡,若欲二千余州县,同時並兴,惟有归入地方官考成,令將筹办情形,按季会绅,详具说帖,申藩逵部,虽欲因循不办而不能,部中既为总汇择取善法,使相仿傚,各省司分录行文,不旬月而徧天下,內外無隔阂,上下無蒙蔽,职事昭著,大吏不能偏私,而吏治可蒸蒸日上矣。亞洲近事 北京要事汇闻
言,收囘政柄,未示罪名於天下,已斩新党數人,又以不通外事,偏恶外人者为大臣,致有华兵離京纔十英裡,竟敢在铁路上痛毆外國工師,又毆英国随员,如是,豈不事事尋復旧途哉,独于铁路矿务之已交洋人办理者,未敢反覆,次则借保护教民,以和睦远人,盖中朝久知此三項事,不能背约,否則触外人之怒而事不了也,夫如是中朝实自缚其國,自害其民,民困何時能甦哉,乃北京诸公使猶遲疑觀望,任太后之废立,任守舊党之得志,設若维新党有害于国,请问何为自改行新政后,中国商民,皆有喜色,较之近四十年来太后所行之政治,令民怨声载道者,相去天淵,设若各国公使之在北京者,不勒令中朝复今上之政权,再行维新之政,记事者不能不悲叹各国宁与恶俗之国交,而不慕与文明之国处也。缺 八月初六日前员数 八月初六日後员数 缺 八月初六日前员数 八月初六日後员数 满 漢 满 汉 滿 漢 滿 汉 總督 二 六 三 五 臬司 七 十 八 九 巡撫 九 八 道员 廿四 六十五 廿五 六十四 藩司 五 十五 十七 十三 盐运使 四 一 四 一 |
中高並论
西班牙兵并自述
非律宾义民激发
入城钱
欧洲近事 俄增水師
英人建议屯榖
四国经理企列
西班牙荷蘭两幼主
山帕步勞黨人滋事
死于安樂
奧事兩志
罗王去年游至奥国,餽一象于奥皇,时委一老人管鉰,老人身甚矮,儿童咸侮弄之,惟此象亦不喜焉,老人之子,曾誎其父,谓此象显有憎嫌老人之意,叟不谓然,一日偶入象房,象怒,伸长鼻拂倒老人,又举双蹄蹴踏之,见者忙救出,而已昏不省事,恐難愈矣。美洲近事 设学堂教人管理書藏
路,妇人也,佐教习,名活允付,未字女子也,此學堂有如律法學堂,及醫药學堂,所授者概係颛門法则,凡入學堂,必须二十歲,先考試一次,須通英文,辣丁文,法文,德文,各國史記,平常学问门径,方许入学,其由书院出身者,更易入取,课程分浅深两期,纽约省人来学者,学费八十圆,外来学者,学费一百圆,入堂时即须缴楚,自后每日生徒,须到省书藏供役数点鐘久,盖取其亲身经历,能熟习其所学也,其初年所学,即列书单,识书目,检点书籍,订议钉装工价等事,此为浅学课程,其次年所学,即讨论创设书藏之事,并其章程规条治理之法,又博知古今将来书藏之沿革,并讲究各门书籍之源流,此为深学课程,学堂内设一讲堂,每日令浅学生二人,深学生二人到堂演说一次,所演说者系时賢所箸论书藏等书,学成考取,分别三等名目,一等最优,须精通各学,出类拔萃,为众所钦仰者,始克副之,计纽约学堂,总共考取学成者,二百二十五人,西至山付兰思士哥,东至英国,又有此等学堂之生徒二百余人,皆子以文凭,分遣各处掌管书藏,所异者此等生徒女子居四分之三,细思之,亦不足异,盖此职最宜于女子,因其薪水不甚丰,每年约二百至一千五百圆之数,一千五百圆者,亦属寥寥,故男子有此學問,多不愿就此席,惟女子从事此途,所得薪水,則又較教学师为优,故喜就之也,又凡旧时之掌理书藏人,亦可偷闲赴学堂学习新法一二,该师亦不分畛
,如法教之,但不得同考而出身耳。檀香山植物之盛
美西和议未成
非洲近事 白种不容黑种自立
于英,至近日忽闻沈迁都至西境,在象牙海滨之背后,今其地即被法兵擒处也,闻沈某之权,今不如昔,十年前权尚重大,近十年以來,其權大削,想因年邁不能幹事之故。工事 法工索价
美工制纸新式
師言,谓美國山林,若浪供採伐,不思补植,則不十一一年而材料尽矣,故地方官皆力勸山农植木,盖谓每百赀本银,至微亦获五六分利,其外另获工值,是比别项田产较优,若果人知植树之利,可如伐树之深,想无不乐为之,但有等国不谙以木造纸之法,则虽种木而获利亦薄,所以工艺不能无学也。用钉宜知
巴黎述胜
商事 坚奴埠开商务学堂
英商失利
赝造银币
格致 冷制牛乳
气味,是時重率約为一一六,色白如乳皮,稠如甚滑,斟流徐徐,嘗之略如乳皮,甚清甜,其比未經制之乳,更能久,存蓋因冷冰之時,能將多种微生物殺死也,旧法所制之乳,多加糖,此法所制之乳,无庸加糖,其用更广,盖制饼糈者,每有不必加糖而必加乳者也。无毒烟火柴
仁与咪合股为自来火公司,拟造出火柴随处可激燃,且无毒烟薰鼻者,久之无成,此公司遂倒闭,盖火柴当乍燃时,其硫养燐养之毒,随烟散出,嗅之伤人,果可免此弊,诚于人有益,今有挝纯拖卢与高膜寄两人,悉心攷究,查出一种药物,以之造自来火,可无此种毒烟薰鼻,且随处可以激燃,此二人初非有约而攷出此种药物,竟能不合而同,其脑力可云并美,比利时政府,曾悬赏励人攷制此物,今二君果造出,据实嘱本报刊布,以便週知,且云其价与舊种自来火相同,且又遵用舊時所用之机器,便可制造,現比国政府,已令化學師二人,往化分其药性,攷騐,其确無硫养燐养二物否,攷毕,化学师已肯具保单,而比廷亦将给以专利丕但矣,从前瑞士国亦有化学家,造出无毒自来火,但一经激燃,其火星即随手散落,不能燃及柴末,故不足贵,此二人曾取瑞士国人所造出者化分验之,而知其材料不足,故出奇以制胜也。火器巨费
配制菓香
火车失事
樹藝求精卷
日期 田土之式样所由取得之处 掘深(六寸至八寸含水) 掘深(十寸至十八寸含水) 折中数 八月二十五 离树不远而无植物之处 一五○○ 一七○○ 一六○ 八月二十六 曾种物七月收成后犁转之处 一一○○ 一八○○ 一四六 八月二十六 曾种麦自七月收成后未犁之处 七五七 一七三八 一二五 八月二十六 种橡树经长九年之处 一○五七 一三九七 一二三 八月二十六 种橡树经长三十五至四十年处 九五三 七五四 八五 八月二十六 曾生长二十年士甫鲁树之处 一二八五 四四六 八六 八月二十四 生长葡萄树之处 九二五 一○四一 九八 俱以万分之土为式样 千百十分 千百十分 百十分 |
池沼之斜岸上,惯有此事,就如平面泥田之上亦恒有之,确然小水渠与田略之间,有多种布置之法,只欲令田斜以免水浸,遂至变出许多行略之筑法也。(咯者排土成
也)考礦備要


银养矿四(五) 锌硫矿四(○) 丐勒赛得二(六) 卡西特来得六(九) 卡里倍得三(八) 铜硫矿四(二) 钙弗石三(一) 铅硫矿七(五) 喜马台得五(○) 迷斯必格勒矿六(二) 铁硫矿五(○) 晶石二(六) |
路透電音
陳 锐 廣东香山縣人 捐银十大圓 梁 光字启和 廣东香山縣人 捐银五大圓 |